Презентация, доклад на тему Спиртыыыы:) вот такое оригинальное название у типичной презентации

СПИРТЫ (алкоголи) – класс органических соединений, содержащих одну или несколько группировок С–ОН, при этом гидроксильная группа ОН связана с алифатическим атомом углерода (соединения, у которых атом углерода в группировке С–ОН входит в состав ароматического ядра, называются

Слайд 1СПИРТЫЫЫЫЫ.

СПИРТЫЫЫЫЫ.

Слайд 2
СПИРТЫ (алкоголи) – класс органических соединений, содержащих одну или несколько группировок

С–ОН, при этом гидроксильная группа ОН связана с алифатическим атомом углерода (соединения, у которых атом углерода в группировке С–ОН входит в состав ароматического ядра, называются фенолами)
СПИРТЫ (алкоголи) – класс органических соединений, содержащих одну или несколько группировок С–ОН, при этом гидроксильная группа ОН

Слайд 4
Классификация спиртов разнообразна и зависит от того, какой признак строения взят

за основу.
Классификация спиртов разнообразна и зависит от того, какой признак строения взят за основу.

Слайд 5
1. В зависимости от количества гидроксильных групп в молекуле спирты делят

на:
а) одноатомные (содержат одну гидроксильную ОН-группу), например, метанол СН3ОН, этанол С2Н5ОН, пропанол С3Н7ОН
б) многоатомные (две и более гидроксильных групп), например, этиленгликоль
HO–СH2–CH2–OH, глицерин HO–СH2–СН(ОН)–CH2–OH, пентаэритрит С(СН2ОН)4.
1. В зависимости от количества гидроксильных групп в молекуле спирты делят на: а) одноатомные (содержат одну гидроксильную

Слайд 6
2. По типу атома углерода, с которым связана группа ОН, спирты

делят на:
а) первичные, у которых ОН-группа связана с первичным атомом углерода. Первичным называют атом углерода (выделен красным цветом), связанный всего с одним углеродным атомом. Примеры первичных спиртов – этанол СH3–CH2–OH, пропанол СH3–CH2–CH2–OH.
б) вторичные, у которых ОН-группа связана с вторичным атомом углерода. Вторичный атом углерода (выделен синим цветом) связан одновременно с двумя атомами углерода, например, вторичный пропанол, вторичный бутанол.
2. По типу атома углерода, с которым связана группа ОН, спирты делят на: а) первичные, у которых

Слайд 8Физические свойства спиртов.
Спирты растворимы в большинстве органических растворителей, первые три

простейших представителя – метанол, этанол и пропанол, а также третичный бутанол (Н3С)3СОН – смешиваются с водой в любых соотношениях. При увеличении количества атомов С в органической группе начинает сказываться гидрофобный (водоотталкивающий) эффект, растворимость в воде становится ограниченной, а при R, содержащем свыше 9 атомов углерода, практически исчезает.
Физические свойства спиртов. Спирты растворимы в большинстве органических растворителей, первые три простейших представителя – метанол, этанол и

Слайд 9Химические свойства спиртов
Спирты отличаются разнообразными превращениями. Реакции спиртов имеют некоторые

общие закономерности: реакционная способность первичных одноатомных спиртов выше, чем вторичных, в свою очередь, вторичные спирты химически более активны, чем третичные. Для двухатомных спиртов, в том случае, когда ОН-группы находятся у соседних атомов углерода, наблюдается повышенная (в сравнении с одноатомными спиртами) реакционная способность из-за взаимного влияния этих групп. Для спиртов возможны реакции, проходящие с разрывом как С–О, так и О–Н – связей.
Химические свойства спиртов Спирты отличаются разнообразными превращениями. Реакции спиртов имеют некоторые общие закономерности: реакционная способность первичных одноатомных

Слайд 10
1. Реакции, протекающие по связи О–Н.
При взаимодействии с активными металлами

(Na, K, Mg, Al) спирты проявляют свойства слабых кислот и образуют соли, называемые алкоголятами или алкоксидами:
2CH3OH + 2Na ? 2CH3OK + H2
Алкоголяты химически не стабильны и при действии воды гидролизуются с образованием спирта и гидроксида металла:
C2H5OК + H2O ? C2H5OH + КOH
1. Реакции, протекающие по связи О–Н. При взаимодействии с активными металлами (Na, K, Mg, Al) спирты проявляют

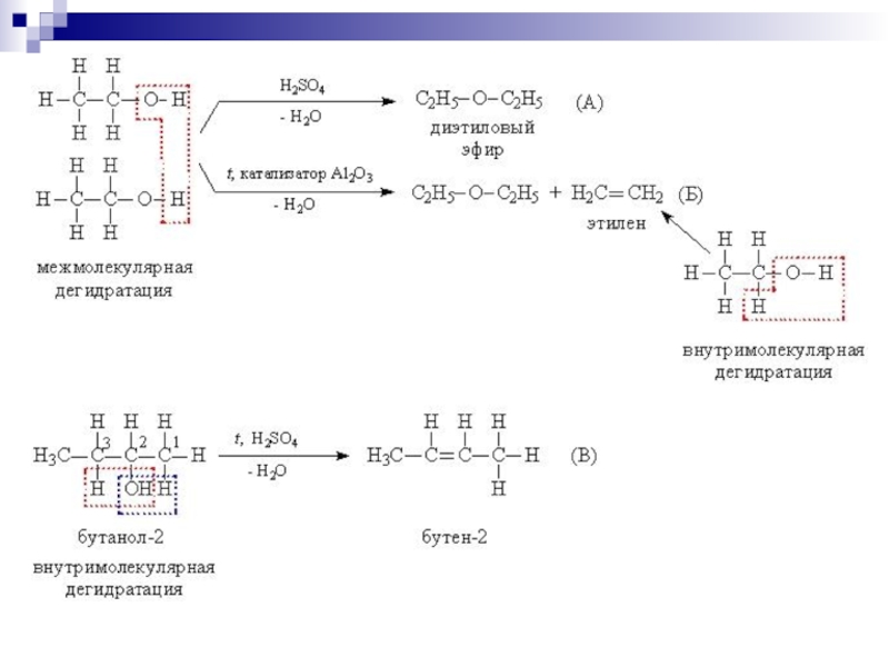
Слайд 11Реакции, протекающие по связи С–О
В присутствии катализаторов или сильных минеральных

кислот происходит дегидратация спиртов (отщепление воды), при этом реакция может идти в двух направлениях:
а) межмолекулярная дегидратация с участием двух молекул спирта, при этом связи С–О у одной из молекул разраваются, в результате образуются простые эфиры – соединения, содержащие фрагмент R–О–R (рис. 9А).
б) при внутримолекулярной дегидратации образуются алкены - углеводороды с двойной связью. Часто оба процесса – образование простого эфира и алкена – протекают параллельно
Реакции, протекающие по связи С–О В присутствии катализаторов или сильных минеральных кислот происходит дегидратация спиртов (отщепление воды),

Что такое shareslide.ru?

Это сайт презентаций, где можно хранить и обмениваться своими презентациями, докладами, проектами, шаблонами в формате PowerPoint с другими пользователями. Мы помогаем школьникам, студентам, учителям, преподавателям хранить и обмениваться учебными материалами.


Для правообладателей

Яндекс.Метрика

Обратная связь

Email: Нажмите что бы посмотреть