Презентация, доклад на тему Вынесение общего множителя за скобки

Цель: изучить алгоритм разложения многочлена на множители способом вынесения за скобки общего множителя. Выработать у учащихся практические умения и навыки применения изученного метода.

Слайд 1 Вынесение общего множителя за скобки

Вынесение общего множителя за скобки

Слайд 2Цель:
изучить алгоритм разложения многочлена на множители способом вынесения за скобки

общего множителя. Выработать у учащихся практические умения и навыки применения изученного метода.
Цель: изучить алгоритм разложения многочлена на множители способом вынесения за скобки общего множителя. Выработать у учащихся практические

Слайд 39x + 9b = 9(x+b)
12ay + 12a = 12a(y+1)
1,3b + 1,3a

= 1,3(b+a)
9x + 9b = 9(x+b)12ay + 12a = 12a(y+1)1,3b + 1,3a = 1,3(b+a)

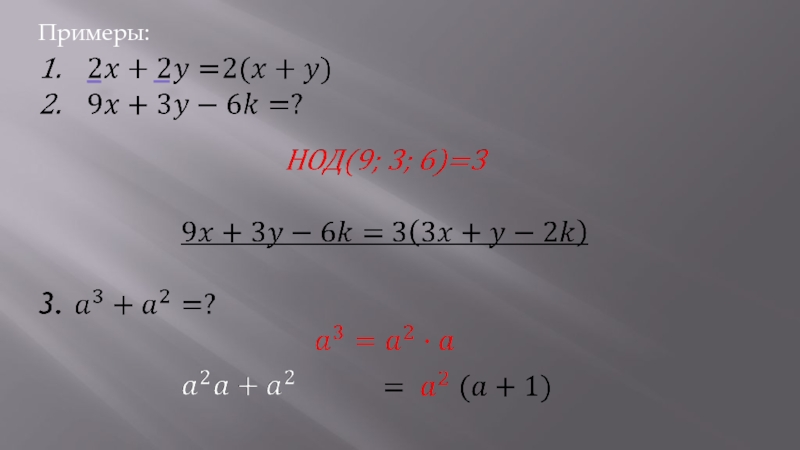
Слайд 4Примеры:

Примеры:

Слайд 536 3
12 3
4 2
2 2
1
НОД(48; 36)=3∙2∙2=12

36 312 3 4 2 2 2 1НОД(48; 36)=3∙2∙2=12

Слайд 6Алгоритм отыскания общего множителя


1. Найти наибольший общий делитель коэффициентов всех одночленов,

входящих в многочлен.
2. Найти переменные, которые входят в каждый член многочлена, и выбрать для каждой из них наименьший показатель степени.
3. Произведение коэффициента, найденного на первом шаге, и степеней, найденных на втором шаге, является общим множителем, который нужно вынести за скобки.
Алгоритм отыскания общего множителя1. Найти наибольший общий делитель коэффициентов всех одночленов, входящих в многочлен.2. Найти переменные, которые

Слайд 10Спасибо за внимание!

Спасибо за внимание!

Что такое shareslide.ru?

Это сайт презентаций, где можно хранить и обмениваться своими презентациями, докладами, проектами, шаблонами в формате PowerPoint с другими пользователями. Мы помогаем школьникам, студентам, учителям, преподавателям хранить и обмениваться учебными материалами.


Для правообладателей

Яндекс.Метрика

Обратная связь

Email: Нажмите что бы посмотреть