Презентация, доклад по математике Устный счет. Тригонометрия

Упростите выражение:

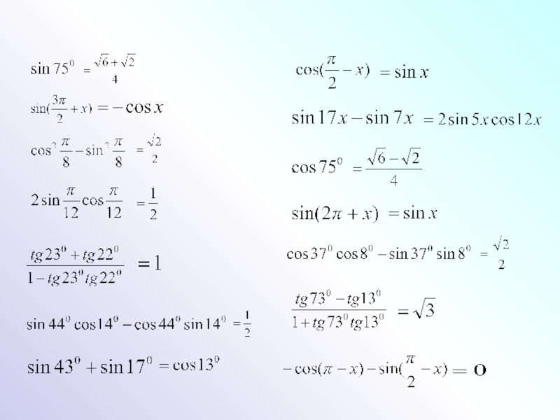
Слайд 1Устная работа

Устная работа

Слайд 6Упростите выражение:


Упростите выражение:

Слайд 7Упростите выражение:

Упростите выражение:

Слайд 8Упростите выражение:

Упростите выражение:

Слайд 9Упростите выражение:

Упростите выражение:

Слайд 10Упростите выражение:

Упростите выражение:

Слайд 11Упростите выражение:

Упростите выражение:

Слайд 12Упростите выражение:

Упростите выражение:

Слайд 13Упростите выражение:


Упростите выражение:

Слайд 14Упростите выражение:


Упростите выражение:

Слайд 15Тема урока: Преобразование сумм тригонометрических функций в произведения

Тема урока:  Преобразование сумм тригонометрических функций в произведения

Что такое shareslide.ru?

Это сайт презентаций, где можно хранить и обмениваться своими презентациями, докладами, проектами, шаблонами в формате PowerPoint с другими пользователями. Мы помогаем школьникам, студентам, учителям, преподавателям хранить и обмениваться учебными материалами.


Для правообладателей

Яндекс.Метрика

Обратная связь

Email: Нажмите что бы посмотреть