Презентация, доклад на тему Урок алгебры в 9 классе по теме Арифметическая прогрессия

Содержание

Даны последовательности чисел 2, 6, 10, 14, 18, …11, 8, 5, 2, -1, …5, 5, 5, 5, 5, 5, …- Чему равен третий член первой последовательности?- Чему равен последующий член?- Чему равна разность между вторым и

Слайд 1Последовательность хn задана формулой
хn =n2
1) Какой номер имеет член

этой последовательности, если он равен 144? 225? 100?
2) Является ли членами этой последовательности числа 48? 49? 168?

n=1
n=2
n=3
n=4

Дана последовательность Un
Известно, U1 =2, Un+1 =3Un +1

Последовательность хn задана формулой хn =n21)  Какой номер имеет член этой последовательности, если он равен 144?

Слайд 2Даны последовательности чисел
2, 6, 10, 14, 18, …
11, 8, 5,

2, -1, …
5, 5, 5, 5, 5, 5, …

- Чему равен третий член первой последовательности?
- Чему равен последующий член?
- Чему равна разность между вторым и первым членами последовательности?
- Какой будет разность между 6 и 5 членами первой последовательности?
- Назовите два последующих члена каждой последовательности.
- Каким свойством обладают эти последовательности?
Даны последовательности чисел 2, 6, 10, 14, 18, …11, 8, 5, 2, -1, …5, 5, 5, 5,

Слайд 3Арифметическая прогрессия
1 урок
21.01.16

Арифметическая прогрессия 1 урок21.01.16

Слайд 4Арифметическая прогрессия – это числовая последовательность, каждый член которой, начиная со

второго равен предыдущему сложенному с одним и тем же числом.

Определение арифметической прогрессии

Арифметическая прогрессия – это числовая последовательность, каждый член которой, начиная со второго равен предыдущему сложенному с одним

Слайд 5

- арифметическая прогрессия, если для всех натуральных n выполняется равенство

Определение арифметической прогрессии


Слайд 6Разность арифметической прогрессии
- прогрессия возрастающая
- прогрессия убывающая
- прогрессия стационарная

Разность арифметической прогрессии- прогрессия возрастающая- прогрессия убывающая- прогрессия стационарная

Слайд 71. Назвать первый член и разность арифметической прогрессии:
6, 8, 10,

12, …

7, 10, 13, 16, …

25, 21, 17, 13, …

-12, -9, -6, -3, …
1. Назвать первый член и разность арифметической прогрессии: 6, 8, 10, 12, … 7, 10, 13, 16,

Слайд 82. Запишите первые пять членов арифметической прогрессии, если
Ответ: 7; 12; 17;

22; 27

Ответ: 11; 9; 7; 5; 3

2. Запишите первые пять членов арифметической прогрессии, еслиОтвет: 7; 12; 17; 22; 27Ответ: 11; 9; 7; 5;

Слайд 93. Доказать, что последовательность, заданная формулой

, является арифметической прогрессией

Требуется доказать, что разность одна и та же для всех n ( не зависит от n )

3. Доказать, что последовательность, заданная формулой

Слайд 10Задание арифметической прогрессии формулой n –го члена

Задание арифметической прогрессии формулой n –го члена

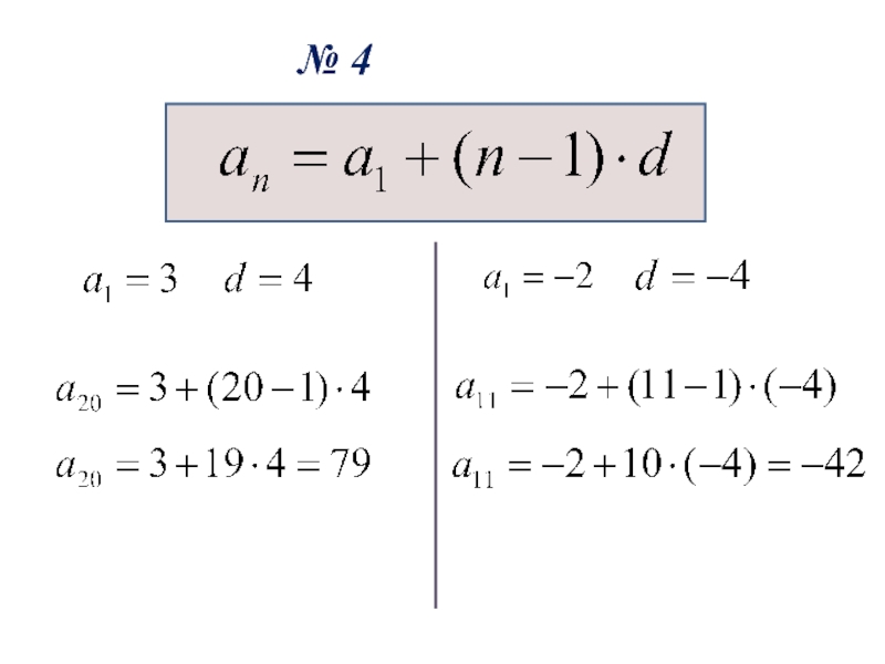
Слайд 12№ 5
Решение:
Ответ :
Записать формулу n –го члена арифметической прогрессии:

25; 21; 17; 13 …
№ 5Решение:Ответ :Записать формулу n –го члена арифметической прогрессии:   25; 21; 17; 13 …

Слайд 13№ 6
Записать формулу n –го члена арифметической прогрессии: 1;

-4; -9; -14 …

Решение:

Ответ :

№ 6Записать формулу n –го члена арифметической прогрессии:   1; -4; -9; -14 …Решение:Ответ :

Слайд 14Свойство n –го члена арифметической прогрессии
Каждый член арифметической прогрессии, начиная со

второго, равен среднему арифметическому двух соседних с ним членов
Свойство n –го члена арифметической прогрессииКаждый член арифметической прогрессии, начиная со второго, равен среднему арифметическому двух соседних

Слайд 15Выписаны несколько последовательных членов арифметической прогрессии:
-34; -18; х; 14; …


Найдите член прогрессии обозначенный буквой х.

Решение:

Выписаны несколько последовательных членов арифметической прогрессии: -34; -18; х; 14; … Найдите член прогрессии обозначенный буквой х.Решение:

Слайд 16Подведем итог
Арифметическая прогрессия – это числовая последовательность, каждый член которой, начиная

со второго равен предыдущему сложенному с одним и тем же числом.
Подведем итогАрифметическая прогрессия – это числовая последовательность, каждый член которой, начиная со второго равен предыдущему сложенному с

Слайд 17Подведем итог
Формула n-го члена арифметической прогрессии

Подведем итогФормула n-го члена арифметической прогрессии

Слайд 18Свойство n –го члена арифметической прогрессии
Каждый член арифметической прогрессии, начиная со

второго, равен среднему арифметическому двух соседних с ним членов

Подведем итог

Свойство n –го члена арифметической прогрессииКаждый член арифметической прогрессии, начиная со второго, равен среднему арифметическому двух соседних

Слайд 19Домашнее задание:
Читать параграф 24,25, учить правила.
Уметь выводить формулу n – го

члена арифметической прогрессии
№ 575,578,580
Домашнее задание:Читать параграф 24,25, учить правила.Уметь выводить формулу n – го члена арифметической прогрессии№ 575,578,580

Слайд 20Последовательности заданы несколькими первыми членами. Одна из них – арифметическая прогрессия.

Укажите ее.

А) 1; 4; 9; 16; …

Б) -3; -6; -9; -12; …

В) 1; 3; 9; 27; …

Последовательности заданы несколькими первыми членами. Одна из них – арифметическая прогрессия. Укажите ее.А) 1; 4; 9; 16;

Слайд 21Какая из последовательностей является арифметической прогрессией?
А) последовательность натуральных степеней числа 2

Б)

последовательность чисел, обратных натуральным

В) последовательность квадратов натуральных чисел

С) последовательность натуральных чисел, кратных 7
Какая из последовательностей является арифметической прогрессией?А) последовательность натуральных степеней числа 2Б) последовательность чисел, обратных натуральным В) последовательность

Слайд 22Для каждой арифметической прогрессии, заданной формулой n – го члена укажите

ее разность d
Для каждой арифметической прогрессии, заданной формулой n – го члена укажите ее разность d

Что такое shareslide.ru?

Это сайт презентаций, где можно хранить и обмениваться своими презентациями, докладами, проектами, шаблонами в формате PowerPoint с другими пользователями. Мы помогаем школьникам, студентам, учителям, преподавателям хранить и обмениваться учебными материалами.


Для правообладателей

Яндекс.Метрика

Обратная связь

Email: Нажмите что бы посмотреть