Презентация, доклад на тему Урок алгебры и начал математического анализа на тему Деление с остатком

Содержание

Успешного усвоения учебного материалаУроки №7-812.09.17г.Приветствую вас на уроке алгебры и начал математического анализа Девиз урока:

Слайд 1 Урок подготовила
учитель математики
МБОУ СШ № 10 г.Павлово
Леонтьева

Светлана Ивановна

Урок вывешен на сайте: http://pavls1954.wixsite.com/1712

Урок
алгебры и начал математического анализа в 10 классе

Урок подготовила учитель математики МБОУ СШ № 10 г.ПавловоЛеонтьева Светлана ИвановнаУрок вывешен на сайте:

Слайд 2Успешного усвоения учебного материала
Уроки №7-8
12.09.17г.
Приветствую вас на уроке
алгебры и начал

математического анализа

Девиз урока:

Успешного усвоения учебного материалаУроки №7-812.09.17г.Приветствую вас на уроке алгебры и начал математического анализа  Девиз урока:

Слайд 3
1.Теория. Вопросы стр.90.
Проверка ДР№2

на 12.09.17

1.Если нужно доказать, что высказывание верно, надо показать, что оно верно при любых условиях.

2.Чтобы опровергнуть верность высказывания, надо привести хотя бы один подтверждающий это пример

1.Теория. Вопросы стр.90.  Проверка ДР№2 на 12.09.171.Если нужно доказать, что высказывание

Слайд 41. Нельзя, т.к. например, 6 6 и 6 2, но 6

12


Вопросы стр.90.

Проверка ДР№2 на 12.09.17

1. Нельзя, т.к. например, 6 6 и 6 2, но 6 12     Вопросы

Слайд 5
Вопросы стр.90.
Проверка ДР№2 на

12.09.17

2. 1) Нельзя, т.к. например,
5 3 и 4 3, а (5+4) 3

2) Нельзя, т.к. например, 3 6 и 8 6
а (3∙8) 6

Вопросы стр.90.  Проверка ДР№2 на 12.09.172. 1) Нельзя, т.к. например,

Слайд 63. Можно. a² - b² = (a-b)(a+b).
Из задачи 2 имеем, что

если числа a и b не делятся на число т, то их сумма или разность могут делиться на т. Поэтому a² - b² может делиться на т.

Например: а=7,b=2


Вопросы стр.90.

Проверка ДР№2 на 12.09.17

3. Можно. a² - b² = (a-b)(a+b).Из задачи 2 имеем, что если числа a и b не

Слайд 7
Стр.78, № 1
Четное число имеет вид

где .

Стр.78, № 1Четное число имеет вид

Слайд 8
Стр.78, № 1
2) Пусть

где п и k - целые.

А) если п и k – оба четные, или оба нечетные, то четное

Б) если из п и k – одно четное, а другое нечетное

то четное.

Стр.78, № 12) Пусть

Слайд 9
Стр.78, № 2

Стр.78, № 2

Слайд 10
Стр.78, № 4(2)
делится на 7

Решение:
делится на

7
Стр.78, № 4(2)делится на 7Решение:делится на 7

Слайд 11 12.09.17
Тема урока:
Деление с остатком
(Глава 2,

§2)

КР

12.09.17 Тема урока: Деление с остатком(Глава 2, §2)   КР

Слайд 12Цели урока:
Развитие представления о делимости чисел с остатком.
Применение свойств делимости

при решении задач на нахождение остатка от деление одного числа на другое и последней цифры числа.
Продолжить формирование культуры устной и письменной математической речи и культуры общения, умения работать в паре и группе
Цели урока:Развитие представления о делимости чисел с остатком. Применение свойств делимости при решении задач на нахождение остатка

Слайд 13Изучение нового и закрепление изученного материала
Разбор материала по учебнику.

Изучение нового и закрепление изученного материалаРазбор материала по учебнику.

Слайд 14Стр.78, §2.
Всякое ли целое число а
делится на натуральное число т?


Как в этом случае можно записать число а, если:
1 случай: а- натуральное;
2 случай: а – целое.

Стр.78, §2. Всякое ли целое число аделится на натуральное число т? Как в этом случае можно записать

Слайд 151. Деление натурального числа а на
натуральное число т определяется равенством: а=qт+r,

где
а, q, т, r– натуральные.
1. Деление натурального числа а нанатуральное число т определяется равенством: а=qт+r, где а, q, т, r– натуральные.

Слайд 161. Деление натурального числа а на
натуральное число т определяется равенством:

а=qт+r , где
а, q, т, r– натуральные,

Запишите равенство, выражающее деление а на т, где:
а= 27; т=4
а= 42; т=9

Проверка

1. Деление натурального числа а нанатуральное число т определяется равенством:  а=qт+r , где а, q, т,

Слайд 171. Деление натурального числа а на
натуральное число т определяется равенством:

а=qт+r , где
а, q, т, r– натуральные,

Запишите равенство, выражающее деление а на т, где:
а= 27; т=4 27=6∙4+3
а= 42; т=9 42=4∙9+6

1. Деление натурального числа а нанатуральное число т определяется равенством:  а=qт+r , где а, q, т,

Слайд 182. Деление целого числа а на
натуральное число т определяется равенством: а=qт+r

, где
а, q – целые, т – натуральное,
r –целое неотрицательное,

Запишите равенство, выражающее деление а на т, где:
а= - 27; т=4
а= - 42; т=9

2. Деление целого числа а нанатуральное число т определяется равенством: а=qт+r , где а, q – целые,

Слайд 192. Деление целого числа а на
натуральное число т определяется равенством: а=qт+r

, где
а, q – целые, т – натуральное,
r –целое неотрицательное,

Запишите равенство, выражающее деление а на т, где:
а= - 27; т=4 -27= -7∙4+1
а= - 42; т=9 -42= -5∙9+3

2. Деление целого числа а нанатуральное число т определяется равенством: а=qт+r , где а, q – целые,

Слайд 201. Запишите равенство, выражающее деление целого числа а на натуральное т,

где:
1) а= - 21; т=8
2) а= - 32; т=11
3) а= -100; т=15

Проверка

1. Запишите равенство, выражающее деление целого числа а на натуральное т, где:1) а= - 21; т=8

Слайд 211. Запишите равенство, выражающее деление а на т, где:
1) а= -

21; т=8 -21= -3∙8+3
2) а= - 32; т=11 -32= -3∙11+1
3) а= -100; т=15 -100= -7∙15+5
Оцените свое решение:
Максимальный балл-1

1. Запишите равенство, выражающее деление а на т, где:1) а= - 21; т=8   -21= -3∙8+32)

Слайд 22 1) Назовите возможные остатки
от деления чисел:

а) на 3; б) на 6; в) на 4

2. Отвечаем на вопросы. В тетрадь записать только ответы

Проверка

1) Назовите возможные остатки от деления чисел:     а) на 3;

Слайд 23 1) Назовите возможные остатки
от деления:

а) на 3; б) на 6; в) на 4

2. Отвечаем на вопросы:

а) 1;2 б) 1;2;3;4;5 в) 1;2;3.

Максимальный балл-1

1) Назовите возможные остатки от деления:     а) на 3;

Слайд 24
2) Назовите варианты записи числа а, которое:
а)

делится на 4:

б) не делится на 4:
…, …, …

2. Отвечаем на вопросы:

Проверка

2) Назовите варианты записи числа а, которое:  а) делится на 4:

Слайд 25
2) Варианты записи числа а, которое:

а) делится

на 4;
а=4т

б) не делится на 4.
…, …, …

2. Отвечаем на вопросы:

2) Варианты записи числа а, которое:  а) делится на 4;

Слайд 26
2) Варианты записи числа а, которое:
а) делится

на 4;
а=4т

б) не делится на 4.
а=4т+1, а=4т+2, а=4т+3

2. Отвечаем на вопросы:

Максимальный балл-3

2) Варианты записи числа а, которое:  а) делится на 4;

Слайд 27 Стр.79, Задача 3
Разбираем задачу
по тексту в учебнике

Стр.79, Задача 3Разбираем задачу по тексту в учебнике

Слайд 28 Стр.80, №12
Пусть натуральное число а
не делится на 3.
Доказать,

что число а²-1 делится на 3.

Проведите доказательство.
Рассмотрите 2 варианта записи числа а
а=…
а=…

Стр.80, №12 Пусть натуральное число ане делится на 3. Доказать, что число а²-1 делится на 3.

Слайд 29 Стр.80, №12
Пусть натуральное число а
не делится на 3. Доказать,

что число а²-1 делится на 3.

1) а=3п+1, 2) а=3п+2

1) а² -1=(3п+1)²-1=

2) а² -1=(3п+2)²-1=

Стр.80, №12 Пусть натуральное число ане делится на 3. Доказать, что число а²-1 делится на 3.1)

Слайд 30 Стр.80, №12
Пусть натуральное число а
не делится на 3. Доказать,

что число а²-1 делится на 3.

1) а=3п+1, 2) а=3п+2

а² -1=(3п+1)²-1=9п²+6п+1–1 =


Стр.80, №12 Пусть натуральное число ане делится на 3. Доказать, что число а²-1 делится на 3.1)

Слайд 31а² -1=(3п+1)²-1=9п²+6п+1–1 =

=9п²+6п=
Стр.80,

№12

Пусть натуральное число а
не делится на 3. Доказать, что число а²-1 делится на 3.

1) а=3п+1, 2) а=3п+2

а² -1=(3п+1)²-1=9п²+6п+1–1 =       =9п²+6п= Стр.80, №12 Пусть натуральное число ане делится

Слайд 32 Стр.80, №12
Пусть натуральное число а
не делится на 3. Доказать,

что число а²-1 делится на 3.

1) а=3п+1, 2) а=3п+2

а² -1=(3п+1)²-1=9п²+6п+1–1 =

=9п²+6п=3(3п²+2п)

Стр.80, №12 Пусть натуральное число ане делится на 3. Доказать, что число а²-1 делится на 3.1)

Слайд 33 Стр.80, №12
Пусть натуральное число а
не делится на 3. Доказать,

что число а²-1 делится на 3.

1) а=3п+1, 2) а=3п+2

а² -1=(3п+1)²-1=9п²+6п+1–1 =

=9п²+6п=3(3п²+2п) 3

Проведите доказательство 2)

Проверка

Стр.80, №12 Пусть натуральное число ане делится на 3. Доказать, что число а²-1 делится на 3.1)

Слайд 34 Стр.80, №12
Пусть натуральное число а
не делится на 3. Доказать,

что число а²-1 делится на 3.

1) а=3п+1, 2) а=3п+2

2) а²-1=(3п+2)²-1=9п²+12п+4–1=

=9п²+12п+3=3(3п²+4п+1) 3

Максимальный балл - 1

Стр.80, №12 Пусть натуральное число ане делится на 3. Доказать, что число а²-1 делится на 3.1)

Слайд 35 3. Укажите остатки от деления чисел на 10:
а) 123

б) 3478392 в) 777888

Проверка

3. Укажите остатки от деления чисел на 10:а) 123    б) 3478392

Слайд 36 3. Остатки от деления чисел на 10:

а) 123

б) 3478392 в) 777888
3 2 8

Максимальный балл - 1

3. Остатки от деления чисел на 10:а) 123    б) 3478392

Слайд 37 4. Укажите остатки от деления чисел на 5:

а) 123

б) 3478392 в) 777888

Проверка

4. Укажите остатки от деления чисел на 5:а) 123    б) 3478392

Слайд 38 4. Укажите остатки от деления чисел на 5:

а) 123

б) 3478392 в) 777888

3 2 3=8-5

Максимальный балл - 1

4. Укажите остатки от деления чисел на 5:а) 123  б) 3478392  в) 777888

Слайд 39 5. Укажите остатки от деления чисел на 2:

в) 123

б) 3478395 в) 777888

Проверка

5. Укажите остатки от деления чисел на 2:в) 123    б) 3478395

Слайд 40 5. Укажите остатки от деления чисел на 2:

в) 123

б) 3478395 в) 777888

Максимальный балл - 1

1 1 0

5. Укажите остатки от деления чисел на 2:в) 123    б) 3478395

Слайд 41 6. Заполните пропуски

6. Заполните пропуски

Слайд 42 6. Заполните пропуски
Максимальный балл - 1

6. Заполните пропуски Максимальный балл - 1

Слайд 43 Какой цифрой заканчивается
любая степень чисел: 1, 5, 6 ?


Какой цифрой заканчивается любая степень чисел: 1, 5, 6 ?

Слайд 447.Заполняем таблицу последних цифр степеней:
Проверка

7.Заполняем таблицу последних цифр степеней:Проверка

Слайд 457.Таблица последних цифр степеней:

7.Таблица последних цифр степеней:

Слайд 46
Разбираем стр.79. Задача 5.

Найти последнюю цифру числа а, если:
1)


Разбираем стр.79. Задача 5.Найти последнюю цифру числа а, если:  1)

Слайд 47Найти последнюю цифру числа а, если:
1)

Найти последнюю цифру числа а, если:  1)

Слайд 48Найти последнюю цифру числа а, если:
1)
Оканчивается на цифру

8

Попробуйте по этому образцу выполнить 2 и 3 задания

Найти последнюю цифру числа а, если:  1) Оканчивается на цифру 8Попробуйте по этому образцу выполнить 2

Слайд 49Найти последнюю цифру числа а, если:

2)
3)

Найти последнюю цифру числа а, если:  2) 3)

Слайд 50Найти последнюю цифру числа а, если:

2)
Оканчивается на цифру

7

3)

Оканчивается на цифру 9

Найти последнюю цифру числа а, если:  2) Оканчивается на цифру 73) Оканчивается на цифру 9

Слайд 518.Найти последнюю цифру числа а, если:

1)

2) 3)

Выполните самостоятельно
с консультацией в паре

8.Найти последнюю цифру числа а, если:  1)         2)

Слайд 52Найти последнюю цифру числа а, если:
1)

2) 3)

Оканчивается на цифру 9

Найти последнюю цифру числа а, если:  1)        2)

Слайд 53Найти последнюю цифру числа а, если:
1)

2) 3)

Оканчивается на цифру 9

2)

Оканчивается на цифру 2

Найти последнюю цифру числа а, если:  1)        2)

Слайд 54Найти последнюю цифру числа а, если:
1)

2) 3)

Последняя цифра числа 9

2)

Последняя цифра числа 2

3)

Последняя цифра числа 4

Максимальный балл - 3

Найти последнюю цифру числа а, если:   1)        2)

Слайд 559.Найти последнюю цифру числа а, если:

1)

2)
9.Найти последнюю цифру числа а, если:     1)

Слайд 569.Найти последнюю цифру числа а, если:
1)


Последняя цифра числа будет

такой же, как у , т.е. 5

2)

9.Найти последнюю цифру числа а, если:   1)

Слайд 579.Найти последнюю цифру числа а, если:
1)


Последняя цифра числа будет
такой же, как у , т.е. 5

2)

Последняя цифра числа будет

такой же, как у , т.е. 6

Максимальный балл - 2

9.Найти последнюю цифру числа а, если:   1)

Слайд 5810.Найдите последнюю цифру числа:


10.Найдите последнюю цифру числа:

Слайд 5910.Найти последнюю цифру числа


Первое слагаемое оканчивается цифрой 5, а второе цифрой 6, сл-но последняя цифра их суммы 1.

Максимальный балл - 1

10.Найти последнюю цифру числа

Слайд 6011. Покажите, что число


делится на 5


11. Покажите, что числоделится на 5

Слайд 6111. Покажите, что число


делится на 5


Максимальный балл - 1

Первое слагаемое оканчивается цифрой 1, а второе цифрой 4, сл-но последняя цифра их суммы 5, поэтому число делится на 5.

11. Покажите, что числоделится на 5

Слайд 62Разбираем свойство делимости чисел

Разбираем свойство делимости чисел

Слайд 63
Стр.78,№7
Разбираем №7, стр.78

Стр.78,№7Разбираем №7, стр.78

Слайд 64
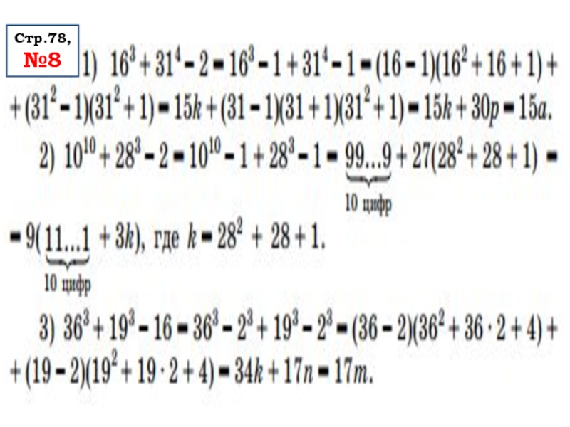
Стр.78,№8

Стр.78,№8

Слайд 65
Оцениваем свою работу на уроке в баллах за выполнение заданий:

17

баллов – оценка «5» - отлично потрудились, были собраны и внимательны.
12 - 16 баллов- оценка «4»- хорошо, допускались отдельные ошибки.
8-11 баллов – оценка «3»- вы недостаточно внимательны, над ликвидацией ошибок стоит поработать дополнительно

Оцениваем свою работу на уроке в баллах за выполнение заданий:17 баллов – оценка «5» - отлично

Слайд 67
1.Теория. Глава 2.§2, разобрать ответить на

вопросы стр.90.
Разобрать задачи, решенные в классе.
Готовимся к олимпиаде по математике

2.Практика. Стр.80, №10,11
Стр.90, №2,3

ДР№3 на 14.09.17

СР

1.Теория. Глава 2.§2, разобрать ответить на вопросы стр.90.Разобрать задачи, решенные в классе.Готовимся

Слайд 68
СР (вариант)
1. Какой цифрой оканчивается число:
2. Докажите, что число


делится на 9 делится на 6
СР (вариант)1. Какой цифрой оканчивается число:2. Докажите, что число  делится на 9

Слайд 76Схема решения уравнений и неравенств,
содержащих модуль

Схема решения уравнений и неравенств, содержащих модуль

Что такое shareslide.ru?

Это сайт презентаций, где можно хранить и обмениваться своими презентациями, докладами, проектами, шаблонами в формате PowerPoint с другими пользователями. Мы помогаем школьникам, студентам, учителям, преподавателям хранить и обмениваться учебными материалами.


Для правообладателей

Яндекс.Метрика

Обратная связь

Email: Нажмите что бы посмотреть