Презентация, доклад на тему Сложение и вычитание алгебраических дробей

Цели:Повторить правила сложения и вычитания числовых дробей с разными знаменателями;Изучить правила сложения и вычитания алгебраических дробей с разными знаменателями.

Слайд 1Сложение и вычитание
алгебраических дробей
с разными знаменателями
Маркина Е.В.
МОУ СШ №9

с УИОП г. Павлово
Сложение и вычитание алгебраических дробей с разными знаменателямиМаркина Е.В.МОУ СШ №9 с УИОП г. Павлово

Слайд 2Цели:
Повторить правила сложения и вычитания числовых дробей с разными знаменателями;

Изучить правила

сложения и вычитания алгебраических дробей с разными знаменателями.
Цели:Повторить правила сложения и вычитания числовых дробей с разными знаменателями;Изучить правила сложения и вычитания алгебраических дробей с

Слайд 3При вычитании и сложении дробей с разными знаменателями нужно:
Вспомним!
Правила

сложения и вычитания числовых дробей
с разными знаменателями

Привести дроби к наименьшему общему знаменателю (НОЗ).
а) Найти НОК знаменателей (это и есть НОЗ).
б) Найти для каждой дроби дополнительный множитель (разделить НОЗ на знаменатель дроби).
в) умножить числитель и знаменатель каждой дроби на ее дополнительный множитель.
2. Сложить или вычесть дроби.

При вычитании и сложении дробей с разными знаменателями нужно: Вспомним! Правила сложения и вычитания числовых дробей с

Слайд 4Приведём дроби к знаменателю 42
21
14
6
7
3
2
21

Приведём дроби к знаменателю 422114673221

Слайд 5Решим примеры:
3
2
3
2

Решим примеры:3232

Слайд 7Разложим на множители:

Разложим на множители:

Слайд 8Найдите наименьший общий знаменатель дробей:
1.
2.
3.
4.
5.
6.

и
и
и
и
и
и

Найдите наименьший общий знаменатель дробей:1.2.3.4.5.6.ииииии

Слайд 9Над алгебраическими дробями можно осуществлять преобразования аналогичные тем, которые указали
для

обыкновенной дроби.

Изучение новой темы

Вспомним!
Как привести алгебраические дроби к наименьшему
общему знаменателю?

5

2

5

Над алгебраическими дробями можно осуществлять преобразования аналогичные тем, которые указали для обыкновенной дроби.Изучение новой темыВспомним!Как привести алгебраические

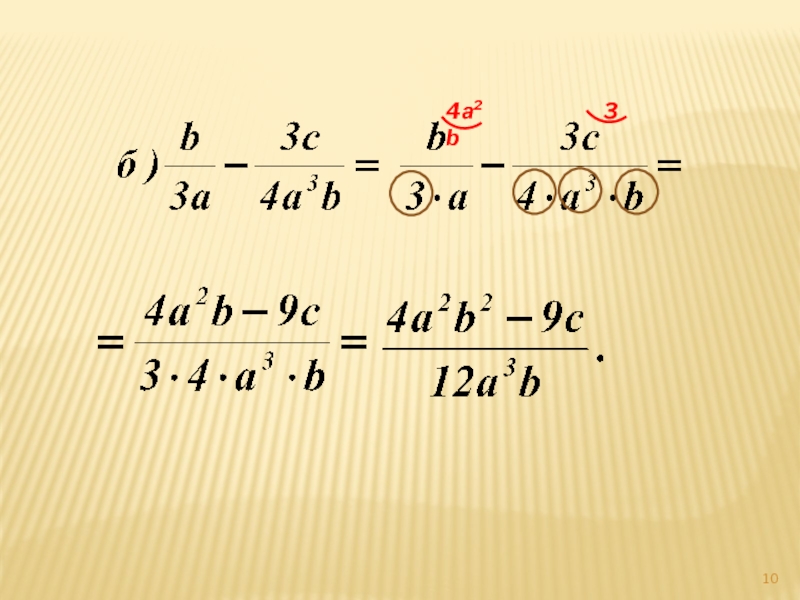
Слайд 104а²b
3

4а²b3

Слайд 12Алгоритм выполнения
действий сложения и вычитания алгебраических дробей
с разными знаменателями:
1.

Знаменатели дробей разложить на множители.

2. Найти наименьший общий знаменатель для дробей.

3. Привести все дроби к найденному знаменателю.

4. Сложить или вычесть дроби согласно правилу
сложения и вычитания дробей
с одинаковыми знаменателями.

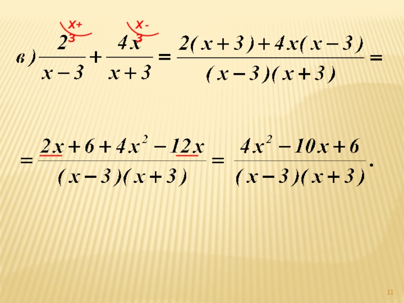
Алгоритм выполнения действий сложения и вычитания алгебраических дробей с разными знаменателями:1. Знаменатели дробей разложить на множители.2. Найти

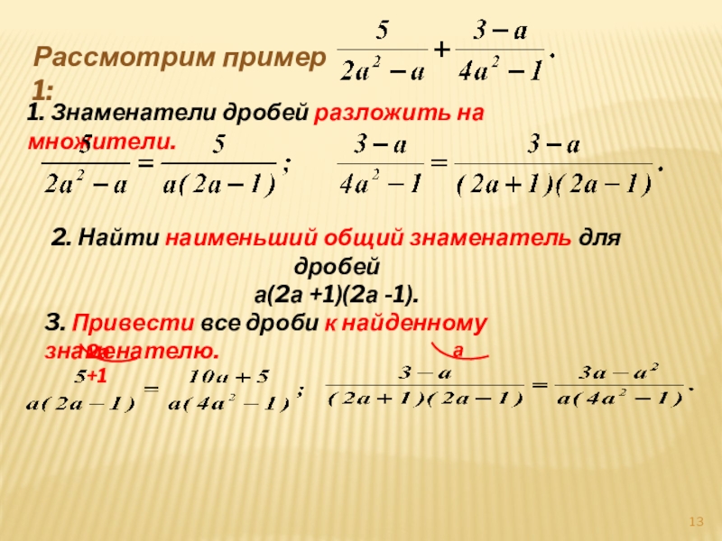
Слайд 13Рассмотрим пример 1:
1. Знаменатели дробей разложить на множители.
2. Найти наименьший

общий знаменатель для дробей
а(2а +1)(2а -1).

3. Привести все дроби к найденному знаменателю.

Рассмотрим пример 1: 1. Знаменатели дробей разложить на множители.2. Найти наименьший общий знаменатель для дробейа(2а +1)(2а -1).3.

Слайд 144. Сложить дроби по правилу сложения дробей с
одинаковыми знаменателями.

4. Сложить дроби по правилу сложения дробей с одинаковыми знаменателями.

Слайд 15Рассмотрим пример 2:
1. Знаменатели дробей разложить на множители.
ху – х

– 4у + 4 =

х(у – 1) – 4(у – 1) =

(у – 1)(х – 4.)

(у – 1)(х – 4)

2. Наименьший общий знаменатель для дробей:

3.Выполним преобразования:

1

1

1

1

х + 4;

Рассмотрим пример 2: 1. Знаменатели дробей разложить на множители.ху – х – 4у + 4 =х(у –

Слайд 16Задание на уроке
№70 (а, в);
№71 (а,б)
76 (а, в);
77 (а,в,д,ж).

Задание на уроке№70 (а, в);№71 (а,б) 76 (а, в); 77 (а,в,д,ж).

Слайд 17Ответить на вопросы:
Назвать правила сложения и вычитания числовых дробей с разными

знаменателями.

2. Назвать алгоритм сложения
и вычитания алгебраических
дробей с разными знаменателями.

Ответить на вопросы:Назвать правила сложения и вычитания числовых дробей с разными знаменателями.2. Назвать алгоритм сложения и вычитания

Слайд 18Домашнее задание:
№70 (б,д,з);
71 (б,г);
76 (б,г).

Домашнее задание:№70 (б,д,з); 71 (б,г); 76 (б,г).

Что такое shareslide.ru?

Это сайт презентаций, где можно хранить и обмениваться своими презентациями, докладами, проектами, шаблонами в формате PowerPoint с другими пользователями. Мы помогаем школьникам, студентам, учителям, преподавателям хранить и обмениваться учебными материалами.


Для правообладателей

Яндекс.Метрика

Обратная связь

Email: Нажмите что бы посмотреть