Презентация, доклад на тему Решение задания с параметром ЕГЭ

Найти все значения параметра a , при каждом из которых система уравнений имеет единственное решение.

Слайд 1Решение задания с параметром.
Учитель математики МБОУ ЗСОШ № 1
Чернокнижникова
Людмила Михайловна

Решение задания с параметром.Учитель математики МБОУ ЗСОШ № 1Чернокнижникова Людмила Михайловна

Слайд 2 Найти все значения параметра a , при каждом

из которых система уравнений

имеет единственное решение.

Найти все значения параметра a , при каждом из которых система уравнений

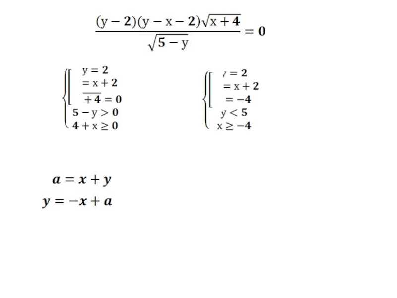
Слайд 3Преобразуем первое уравнение системы.

Преобразуем первое уравнение системы.

Что такое shareslide.ru?

Это сайт презентаций, где можно хранить и обмениваться своими презентациями, докладами, проектами, шаблонами в формате PowerPoint с другими пользователями. Мы помогаем школьникам, студентам, учителям, преподавателям хранить и обмениваться учебными материалами.


Для правообладателей

Яндекс.Метрика

Обратная связь

Email: Нажмите что бы посмотреть