Презентация, доклад на тему Производная

Предел отношения приращения функции к приращению аргумента при условии, что называется производной в точке

Слайд 1




Слайд 6Предел отношения приращения функции к приращению аргумента при условии, что

называется производной в точке
Предел отношения приращения функции к приращению аргумента при условии, что

Слайд 7Геометрический смысл производной

Производная в точке является угловым

коэффициентом касательной
Геометрический смысл производнойПроизводная в точке     является угловым коэффициентом касательной

Слайд 8Физический смысл производной


Физический смысл производной

Слайд 9Физический смысл производной


Физический смысл производной

Слайд 10Физический смысл производной

Физический смысл производной

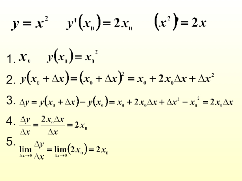
Слайд 111.
2.
3.
4.
5.

1.2.3.4.5.

Что такое shareslide.ru?

Это сайт презентаций, где можно хранить и обмениваться своими презентациями, докладами, проектами, шаблонами в формате PowerPoint с другими пользователями. Мы помогаем школьникам, студентам, учителям, преподавателям хранить и обмениваться учебными материалами.


Для правообладателей

Яндекс.Метрика

Обратная связь

Email: Нажмите что бы посмотреть