Презентация, доклад урока в 9 классе Арифметическая прогрессия

Содержание

Арифметическая прогрессия. Задачи ГИА. тема урока:

Слайд 1
Девиз урока « Мало знать, надо уметь этим

пользоваться»

П а р а б о л а

Т е о р е м а

К о о р д и н а т а

А л г е б р а

П р я м а я

И н т е р в а л

А к с и о м а

с у м м а

О р д и н а т а

В и е т

















Девиз урока  « Мало знать, надо уметь этим

Слайд 2Арифметическая прогрессия. Задачи ГИА.
тема урока:

Арифметическая     прогрессия. Задачи ГИА. тема урока:

Слайд 3Цели урока:
1. Повторить основные формулы арифметической прогрессии.

2. Применить полученные

знания при выполнении упражнений.

3. Проверить полученные знания и умения.


Цели урока:1. Повторить основные формулы  арифметической прогрессии. 2. Применить полученные знания при выполнении упражнений.3. Проверить полученные

Слайд 4диктант

Чем задаётся арифметическая прогрессия?
Чему равна разность арифметической прогрессии?
Записать формулу n-ого

члена арифметической прогрессии

Характеристическое свойство

Формулы суммы n-первых членов арифметической прогрессии.

При каком условии арифметическая прогрессия убывает?

При каком условии арифметическая прогрессия возрастает?


диктант Чем задаётся арифметическая прогрессия?Чему равна разность арифметической прогрессии?Записать формулу n-ого члена арифметической прогрессииХарактеристическое свойствоФормулы суммы n-первых

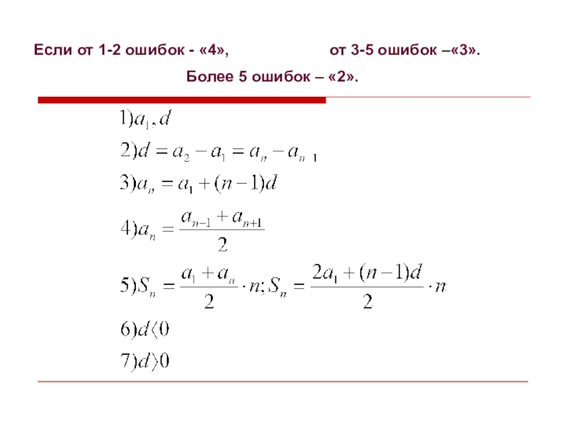
Слайд 5Если от 1-2 ошибок - «4»,

от 3-5 ошибок –«3».
Более 5 ошибок – «2».
Если от 1-2 ошибок - «4»,

Слайд 6Задания ГИА 1 часть

Задания ГИА    1 часть

Слайд 7Задание 1. Из арифметических прогрессий выберите ту, для которой выполняется условие

а12 <12


1) аn=12
2) an =3n-39
3 ) an =3n+39
4) an=2n+2

Задание 1. Из арифметических прогрессий выберите ту, для которой выполняется условие а12

Слайд 8
Задание 2. Из арифметических прогрессий выберите ту, для которой выполняется условие


1) аn=3n

2) an =2n+20

3 ) an =3n-5

4) an=2n-10

Задание 2. Из арифметических прогрессий выберите ту, для которой выполняется условие      1)

Слайд 9
Задание 3. Из арифметических прогрессий выберите убывающую


Задание 3.  Из арифметических прогрессий выберите убывающую

Слайд 10
Задание 4
Какое из чисел является членом арифметической прогрессии

3; 6; 9; 12;…

1) 83 2)95 3)100 4) 102
Задание 4Какое из чисел является членом арифметической прогрессии        3; 6;

Слайд 11Решить задачу 2 способами:

Найдите такие значения х, при которых числа 2,

х, 3х являются последовательными членами арифметической прогрессии.

Ответ: х= -2

Решить задачу 2 способами:Найдите такие значения х, при которых числа 2, х, 3х являются последовательными членами арифметической

Слайд 12Задания ГИА 2 часть

Задания ГИА    2 часть

Слайд 13Творческие задачи

Творческие задачи

Слайд 14

Задача

от медика




Задача от медика

Слайд 15Решить задачу:
Курс воздушных ванн начинают с 15 минут

в первый день и увеличивают время этой процедуры в каждый следующий день на 10 минут. Сколько дней следует принимать воздушные ванны в указанном режиме, чтобы достичь их максимальной продолжительности 1 час 45 минут ?

Решить задачу:  Курс воздушных ванн начинают с 15   минут в первый день и увеличивают

Слайд 16 Рассмотрим промежутки времени:

15мин;25 мин; 35мин…;


Рассмотрим промежутки времени:  15мин;25 мин; 35мин…;

Слайд 17Дано: (an) ÷; a1=15; d=10; an=105 Найти: n
Решение
1) an

= a1+(n-1)d
2)105 = 15+(n-1)10
3)105 = 15+10n-10
4)-10n = -130 |:(-10)
5) n = 13
Ответ: потребуется 13 дней
Дано: (an) ÷; a1=15; d=10; an=105  Найти: n Решение 1) an = a1+(n-1)d 2)105 = 15+(n-1)10

Слайд 18 Родители ко Дню рождения своего сына Андрея решили купить и

обновить ему мобильный телефон. Для этого они в первый месяц отложили 650 рублей, а в каждый последующий месяц они откладывали на 50 рублей больше, чем в предыдущий. Какая сумма будет у родителей Андрея через 10 месяцев?

ЗАДАЧА

Родители ко Дню рождения своего сына Андрея решили купить и обновить ему мобильный телефон. Для этого

Слайд 19Дано:

Найти:
Решение:


Ответ:

Дано: Найти: Решение:Ответ:

Слайд 20Самостоятельная работа

Самостоятельная работа

Слайд 21Правильный ответ

Правильный ответ

Слайд 22Составить тест по теме: «Арифметическая прогрессия».

Тест должен содержать

5 заданий. Помогут вам в этом сборники для подготовки к ГИА и Учебник «Алгебра 9» под редакцией А.Г.Мордковича.

Домашнее задание

Составить тест по теме: «Арифметическая прогрессия».   Тест должен содержать 5 заданий. Помогут вам в этом

Слайд 23итоги урока

итоги урока

Слайд 24Тест.
Результатом своей личной работы считаю, что я .

А. Разобрался в теории.

В. Научился решать задачи.
С. Повторил весь ранее изученный материал.

Что вам не хватало на уроке при решении задач?

А. Знаний. Б. Времени. С. Желания. Д. Решал нормально.


Кто оказывал вам помощь в преодолении трудностей на уроке?

А. Одноклассники. Б. Учитель С. Учебник. Д. Никто.


Рефлексия

Тест.Результатом своей личной работы считаю, что я .А. Разобрался в теории. В. Научился решать задачи.С. Повторил весь

Слайд 25Урок сегодня завершен,
Но каждый должен знать:
Познание, упорство, труд
К прогрессу в жизни

приведут!

Урок сегодня завершен,Но каждый должен знать:Познание, упорство, трудК прогрессу в жизни приведут!

Что такое shareslide.ru?

Это сайт презентаций, где можно хранить и обмениваться своими презентациями, докладами, проектами, шаблонами в формате PowerPoint с другими пользователями. Мы помогаем школьникам, студентам, учителям, преподавателям хранить и обмениваться учебными материалами.


Для правообладателей

Яндекс.Метрика

Обратная связь

Email: Нажмите что бы посмотреть