Презентация, доклад Сумма n-первых членов арифметической прогрессии

Карл Гаусс(1777 – 1855) Математический талант Гаусса проявился ещё в детстве. По легенде, школьный учитель математики, чтобы занять детей на долгое время, предложил им сосчитать сумму чисел от 1 до 100. Юный Гаусс быстро вычислил. выдающийся

Слайд 1Самостоятельная работа

Самостоятельная работа

Слайд 3Карл Гаусс
(1777 – 1855)
Математический талант Гаусса проявился ещё в детстве.

По легенде, школьный учитель математики, чтобы занять детей на долгое время, предложил им сосчитать сумму чисел от 1 до 100. Юный Гаусс быстро вычислил.

выдающийся немецкий математик, астроном и физик, считается одним из величайших математиков всех времён.
 

«Король математики»

= 5 050

1 + 2 + 3 + 4 + … + 97 + 98 + 99 + 100

Вычислите:

= 101 *

50

Карл Гаусс(1777 – 1855) Математический талант Гаусса проявился ещё в детстве. По легенде, школьный учитель математики, чтобы

Слайд 4Задача эта не проста,
Как сделать, чтобы быстро
От единицы и до ста
Сложить

в уме все числа.
Пять первых связок рассмотри,
Найдёшь к решению ключи.
Задача эта не проста,Как сделать, чтобы быстроОт единицы и до стаСложить в уме все числа.Пять первых связок

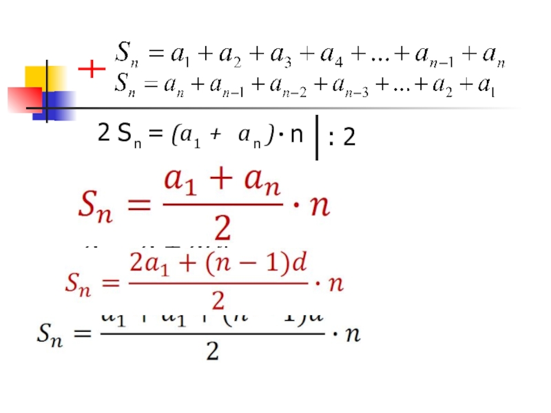
Слайд 5Формула суммы первых n членов арифметической прогрессии










Формула суммы первых n членов арифметической прогрессии

Слайд 6Давным-давно сказал один

мудрец
Что прежде надо
Связать начало и конец
У численного ряда.
Давным-давно сказал один

Слайд 7


Найти сумму первых 100 натуральных чисел
S – сумма
S= 1 +

2 +3+…+98+99+100
S=100+99+98+…+ 3 + 2 + 1

2S=101*100 |:2



S=1+2+3+…+98+99+100=5050

Найти сумму первых 100 натуральных чиселS – суммаS=  1 + 2  +3+…+98+99+100S=100+99+98+…+ 3 + 2

Слайд 8Найти сумму первых 10 натуральных чисел.
1+2+3+4+5+6+7+8+9+10=

= 55

1 + 10

2


10

=

Найти сумму первых 10 натуральных чисел.1+2+3+4+5+6+7+8+9+10=

Слайд 9




Sn – сумма первых n членов арифметической прогрессии














…………………………………………………………………………………………………………………………



























Sn – сумма первых n членов арифметической прогрессии…………………………………………………………………………………………………………………………

Слайд 11

Найдите сумму первых сорока членов последовательности, заданной формулой:
Решение


Найдите сумму первых сорока членов последовательности, заданной формулой:Решение

Слайд 12ДОМАШНЕЕ ЗАДАНИЕ: п.26 (изучить)
на «4»:
№ 603(а)
№ 606(а)
на «5»:
№ 603 (б)
№ 614

ДОМАШНЕЕ ЗАДАНИЕ:  п.26 (изучить)на «4»:№ 603(а)№ 606(а)на «5»:№ 603 (б)№ 614

Что такое shareslide.ru?

Это сайт презентаций, где можно хранить и обмениваться своими презентациями, докладами, проектами, шаблонами в формате PowerPoint с другими пользователями. Мы помогаем школьникам, студентам, учителям, преподавателям хранить и обмениваться учебными материалами.


Для правообладателей

Яндекс.Метрика

Обратная связь

Email: Нажмите что бы посмотреть