Презентация, доклад Сложение и вычитание многочленов (7 класс)

Содержание

Тема: Сложение и вычитание многочленов.

Слайд 1
“Многое из математики не остается в памяти, но когда поймешь ее,

тогда легко при случае вспомнить забытое.”

Михаил Васильевич Остроградский
математик, академик Петербургской академии наук

“Многое из математики не остается в памяти, но когда поймешь ее, тогда легко при случае вспомнить забытое.”

Слайд 2
Тема: Сложение и вычитание многочленов.



Тема: Сложение и вычитание многочленов.

Слайд 3
Тема: Сложение и вычитание многочленов.

Цели урока:
- научиться складывать и

вычитать многочлены;
- составить алгоритм;
- выяснить, какое выражение получится в результате сложения и вычитания многочленов;
- выяснить, какова степень полученного выражения.
 

Тема: Сложение и вычитание многочленов.Цели урока:  - научиться складывать и вычитать многочлены;  - составить алгоритм;

Слайд 4 Назовите выражения, которые являются одночленами:

Назовите выражения, которые являются одночленами:

Слайд 5 Определите степень многочлена:

Определите степень многочлена:

Слайд 6 Приведите подобные слагаемые:

Приведите подобные слагаемые:

Слайд 7Раскройте скобки:

а) +(в-с)=
б) -(в-с)=
в) –(-2а+3в-с)=

Раскройте скобки:а) +(в-с)=б) -(в-с)=в) –(-2а+3в-с)=

Слайд 8
Задумайте двузначное число. (25)


Задумайте двузначное число. (25)

Слайд 9
Задумайте двузначное число. (25)

Поменяйте местами число десятков и единиц. (52)


Задумайте двузначное число. (25)Поменяйте местами число десятков и единиц. (52)

Слайд 10
Задумайте двузначное число. (25)

Поменяйте местами число десятков и единиц. (52)

Найдите сумму

и разность полученных чисел.
(25+52=77; 52-25=27)


Задумайте двузначное число. (25)Поменяйте местами число десятков и единиц. (52)Найдите сумму и разность полученных чисел. (25+52=77; 52-25=27)

Слайд 11
Задумайте двузначное число. (25)

Поменяйте местами число десятков и единиц. (52)

Найдите сумму

и разность полученных чисел.
(25+52=77; 52-25=27)

Назовите число, которое получилось при сложении.
Назовите число, которое получилось при вычитании.

Задумайте двузначное число. (25)Поменяйте местами число десятков и единиц. (52)Найдите сумму и разность полученных чисел. (25+52=77; 52-25=27)Назовите

Слайд 12Объяснение математического фокуса
25=2*10+5
52=5*10+2
а - число десятков задуманного числа
в – число единиц

задуманного числа.
10а+в – задуманное число
10в+а – полученное число

Найдем сумму задуманного и полученного чисел:
(10а+в) (10в+а)


Найдем разность задуманного и полученного чисел:
(10а+в) (10в+а)



Объяснение математического фокуса25=2*10+552=5*10+2а - число десятков задуманного числав – число единиц задуманного числа.10а+в – задуманное число10в+а –

Слайд 15
Глаза смотрящие вдаль, никогда не стареют.

Глаза смотрящие вдаль, никогда не стареют.

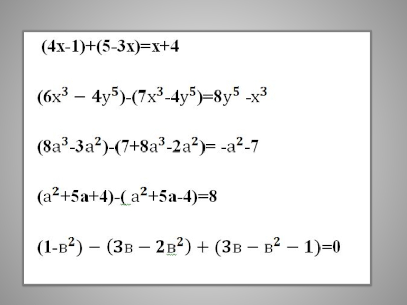
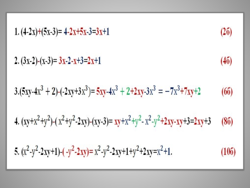
Слайд 21 Найдите ошибки:

Найдите ошибки:

Слайд 22
Домашнее задание:
П 3.5 №3.34, 3.36, 3.37
Дополнительно: Докажите, что сумма трех

последовательных натуральных чисел кратна 3.



Домашнее задание:П 3.5 №3.34, 3.36, 3.37 Дополнительно: Докажите, что сумма трех последовательных натуральных чисел кратна 3.

Слайд 23
Спасибо за урок!

Спасибо за урок!

Что такое shareslide.ru?

Это сайт презентаций, где можно хранить и обмениваться своими презентациями, докладами, проектами, шаблонами в формате PowerPoint с другими пользователями. Мы помогаем школьникам, студентам, учителям, преподавателям хранить и обмениваться учебными материалами.


Для правообладателей

Яндекс.Метрика

Обратная связь

Email: Нажмите что бы посмотреть