Презентация, доклад Рациональные выражения 9 класс

Содержание

11.12.11Силу уму придают упражнения, а не покой. А. Поп (анг. поэт)

Слайд 1Алгебра 9класс

Алгебра 9класс

Слайд 211.12.11
Силу уму придают упражнения,
а не покой.





А. Поп (анг. поэт)
11.12.11Силу уму придают упражнения,     а не покой. А. Поп (анг. поэт)

Слайд 311.12.11
30.11.17 г. Классная работа

11.12.1130.11.17 г.     Классная работа

Слайд 4




Устно.

Устно.

Слайд 5
В тетради, № 1.

В тетради, № 1.

Слайд 6Модуль «Алгебра» № 14
Повторение (4)

Решите систему неравенств

№ 2.


Ответ: 2.


.

.

.

.


















Модуль «Алгебра» № 14Повторение (4)    Решите систему неравенств № 2.Ответ: 2. ....

Слайд 711.12.11
Линейные уравнения”,
Квадратные уравнения”,
Дробно-рациональные уравнения
Символ

урока

Почему ?

11.12.11Линейные уравнения”, Квадратные уравнения”, Дробно-рациональные уравненияСимвол        урока Почему ?

Слайд 8





Рациональные выражения
Целые выражения
Дробные выражения

0,2x·(-3y)

Рациональные выраженияЦелые выражения Дробные выражения0,2x·(-3y)

Слайд 911.12.11
Тема урока:
«Дробные рациональные уравнения»

11.12.11Тема урока: «Дробные рациональные уравнения»

Слайд 11Выражение

Область определения

x ≠ 0

x ≠ 1

x ≠ 0 и x ≠ 1

x ≠ 1 и x ≠ -1

х – любое число







Выражение           Область определенияx ≠ 0x ≠ 1x

Слайд 1211.12.11
Английский математик Д.Сильвестр называл музыку математикой чувств, а математику – музыкой

разУМА
11.12.11Английский математик Д.Сильвестр называл музыку математикой чувств, а математику – музыкой разУМА

Слайд 1311.12.11
Чтобы решать уравнения, нужно совершать ряд преобразований,
и делать это следует

очень осмотрительно.
11.12.11Чтобы решать уравнения, нужно совершать ряд преобразований, и делать это следует очень осмотрительно.

Слайд 1411.12.11
АЛГОРИТМ
1. Найти допустимые значения дробей, входящих в уравнение.
2. Найти общий

знаменатель дробей, входящих в уравнение.
3. Умножить обе части уравнения на общий знаменатель.
4. Решить получившееся уравнение.
5. Исключить корни, не входящие в допустимые значения дробей уравнения.
11.12.11АЛГОРИТМ1. Найти допустимые значения дробей, входящих в уравнение. 2. Найти общий знаменатель дробей, входящих в уравнение. 3.

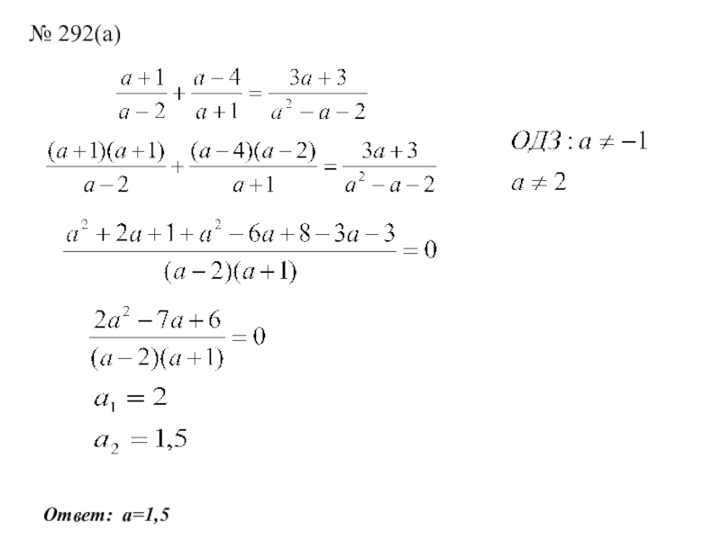
Слайд 15Ответ: а=1,5

№ 292(а)

Ответ: а=1,5№ 292(а)

Слайд 1611.12.11
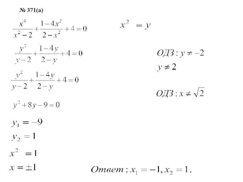
№ 371(а)

11.12.11№ 371(а)

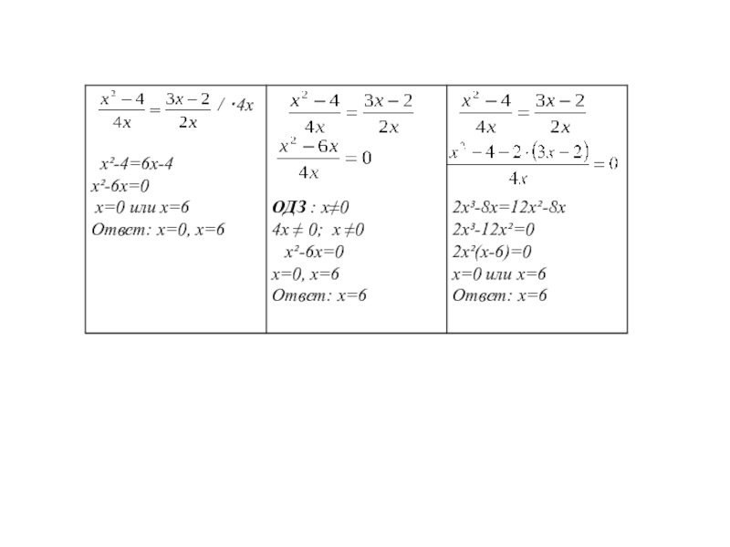
Слайд 1711.12.11
/ ⋅4х 

11.12.11/ ⋅4х 

Слайд 1811.12.11
ИТОГ УРОКА:
Что удалось на уроке?
На что ещё нужно обратить внимание?
Домашнее

задание:
Индивидуальные задания на карточках.
- Выберите уровень сложности.
11.12.11ИТОГ УРОКА:Что удалось на уроке? На что ещё нужно обратить внимание?Домашнее задание: Индивидуальные задания на карточках.- Выберите

Что такое shareslide.ru?

Это сайт презентаций, где можно хранить и обмениваться своими презентациями, докладами, проектами, шаблонами в формате PowerPoint с другими пользователями. Мы помогаем школьникам, студентам, учителям, преподавателям хранить и обмениваться учебными материалами.


Для правообладателей

Яндекс.Метрика

Обратная связь

Email: Нажмите что бы посмотреть