Презентация, доклад практикума Применение метода рационализации для решения неравенств

Идея рационализации неравенств основывается на использовании свойств монотонной функции и известна в математической литературе под такими названиями, как метод декомпозиции, метод замены множителей. Суть метода рационализации заключается в замене сложного выражения F(x) на более простое G(x) (в

Слайд 1Практикум «Решение неравенств с одной переменной методом рационализации»
Типовые задания С3
из

ЕГЭ
Практикум  «Решение неравенств с одной переменной методом рационализации»Типовые задания С3 из ЕГЭ

Слайд 2 Идея рационализации неравенств основывается на использовании свойств монотонной функции и известна

в математической литературе под такими названиями, как метод декомпозиции, метод замены множителей.
Суть метода рационализации заключается в замене сложного выражения F(x) на более простое G(x) (в конечном счете, рациональное), при которой неравенство G(x) ˂ 0 (G(x) ˃ 0 ) равносильно неравенству F(x) ˂ 0 ( F(x) ˃0 ) в области определения выражения.
Идея рационализации неравенств основывается на использовании свойств монотонной функции и известна в математической литературе под такими названиями,

Слайд 3Рационализирующие выражения в неравенствах

Рационализирующие выражения  в неравенствах

Слайд 4Как составлена эта таблица?
Как её использовать?
Как это всё запомнить?

Как составлена эта таблица?Как её использовать?Как это всё запомнить?

Слайд 5Попробуем разобраться…

Попробуем разобраться…

Слайд 8Как это работает…
Статград , 25.01.18
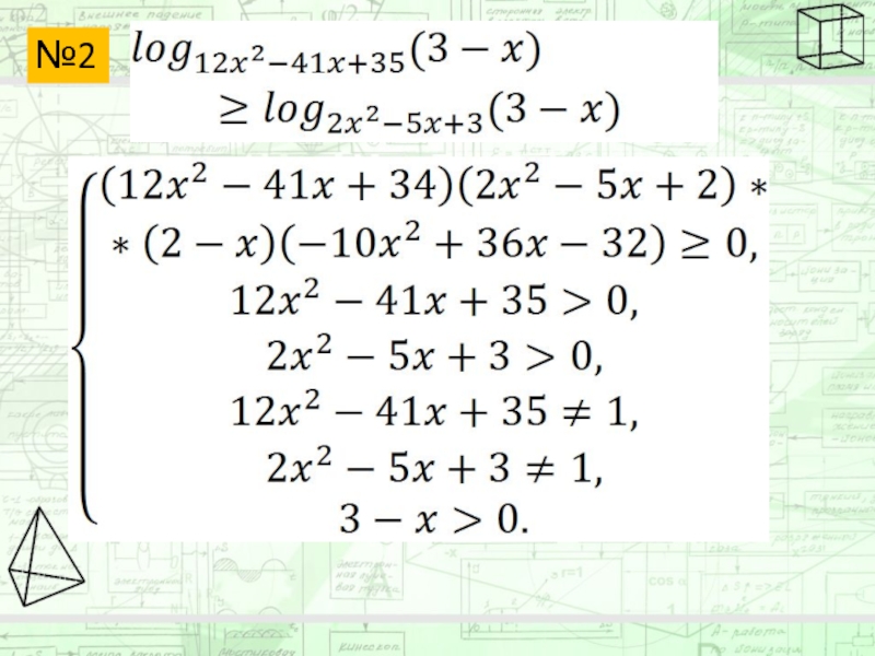
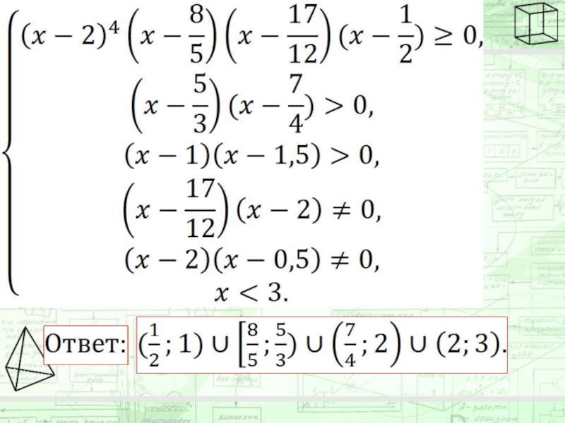
№1

Как это работает…Статград , 25.01.18№1

Слайд 13Практикум

Практикум

Слайд 14Ответы:

Ответы:

Что такое shareslide.ru?

Это сайт презентаций, где можно хранить и обмениваться своими презентациями, докладами, проектами, шаблонами в формате PowerPoint с другими пользователями. Мы помогаем школьникам, студентам, учителям, преподавателям хранить и обмениваться учебными материалами.


Для правообладателей

Яндекс.Метрика

Обратная связь

Email: Нажмите что бы посмотреть