Презентация, доклад по теме Текстовые задачи-2011

Вариант 1

Слайд 1Текстовые задачи 2011
Ваганова Алла Сергеевна, учитель математики
МОУ лицей №1
город Тутаев

Текстовые задачи 2011Ваганова Алла Сергеевна, учитель математикиМОУ лицей №1 город Тутаев

Слайд 2Вариант 1

Вариант 1

Слайд 3Х волков было в 1-ом заповеднике,
тогда (220-х) волков- во 2-ом заповеднике
1,1x+1,2(220-x)=250
-0,1х=250-1,2∙220
-0,1х=-14
х=140
Ответ:

140


Х волков было в 1-ом заповеднике,тогда (220-х) волков- во 2-ом заповеднике1,1x+1,2(220-x)=250-0,1х=250-1,2∙220-0,1х=-14х=140Ответ: 140

Слайд 4Вариант 2

Вариант 2

Слайд 5

Х+30
х
20 м
(х-20)(х+30)=2400
Х2+10х-3000=0
Х=50
50+30=80
Ответ: 80

Х+30х20 м(х-20)(х+30)=2400Х2+10х-3000=0Х=5050+30=80 Ответ: 80

Слайд 6Вариант 3

Вариант 3

Слайд 7Пусть х км/ч- собственная скорость лодки

Пусть х км/ч- собственная скорость лодки

Слайд 8Вариант 4

Вариант 4

Слайд 9
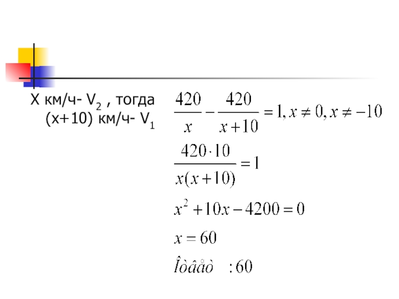
Х км/ч- V2 , тогда (х+10) км/ч- V1

Х км/ч- V2 , тогда (х+10) км/ч- V1

Слайд 10Вариант 5

Вариант 5

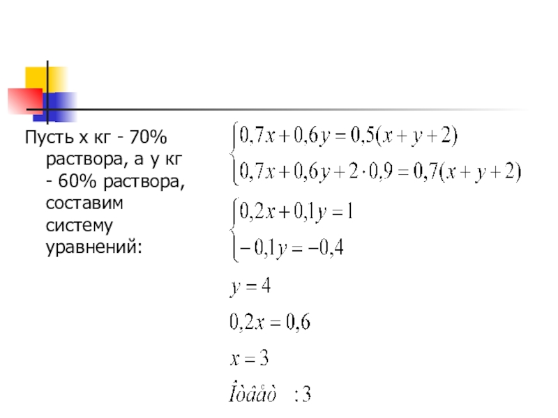
Слайд 11Пусть х кг - 70% раствора, а у кг - 60%

раствора, составим систему уравнений:


Пусть х кг - 70% раствора, а у кг - 60% раствора, составим систему уравнений:

Слайд 12Вариант 6

Вариант 6

Слайд 14Вариант 7

Вариант 7

Слайд 15Пусть х часов затратили на дорогу

Пусть х часов затратили на дорогу

Слайд 16Вариант 8

Вариант 8

Слайд 18Вариант 9

Вариант 9

Слайд 19
Пусть х км- расстояние до пункта назначения, составим уравнение:

Пусть х км- расстояние до пункта назначения, составим уравнение:

Слайд 20Вариант 10

Вариант 10

Слайд 21А
В
С



112 км

Встреча
Vгруз=x км/ч Vлегк.=х+28 (км/ч)
Пусть легковая догонит через у

часов

xy км

легковая

грузовая

АВС112 кмВстречаVгруз=x км/ч   Vлегк.=х+28 (км/ч)Пусть легковая догонит через у часовxy кмлегковаягрузовая

Слайд 22
Успехов
в подготовке к ЕГЭ!

Успехов в подготовке к ЕГЭ!

Что такое shareslide.ru?

Это сайт презентаций, где можно хранить и обмениваться своими презентациями, докладами, проектами, шаблонами в формате PowerPoint с другими пользователями. Мы помогаем школьникам, студентам, учителям, преподавателям хранить и обмениваться учебными материалами.


Для правообладателей

Яндекс.Метрика

Обратная связь

Email: Нажмите что бы посмотреть