Презентация, доклад по теме Решение экономических задач (вклады) при подготовке к ЕГЭ

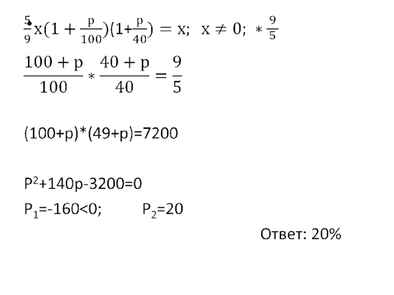
1. Семен Кузнецов планировал вложить все свои сбережения на сберегательный счет в банк «Навроде» под 500%, рассчитывая через год забрать А рублей. Однако крах банка «Навроде» изменил его планы, предотвратив необдуманный поступок. В результате часть денег

Слайд 1Решение экономических задач.
Вклады
Презентацию подготовила
Смирнова Елена Владимировна
учитель математики МОУ СШ №58
г. Ярославль

Решение экономических задач.ВкладыПрезентацию подготовилаСмирнова Елена Владимировнаучитель математики МОУ СШ №58г. Ярославль

Слайд 21. Семен Кузнецов планировал вложить все свои сбережения на сберегательный счет

в банк «Навроде» под 500%, рассчитывая через год забрать А рублей. Однако крах банка «Навроде» изменил его планы, предотвратив необдуманный поступок. В результате часть денег г-н Кузнецов положил в банк «Первый Муниципальный», а остальные в банку из под макарон. Через год «Первый Муниципальный» повысил процент выплат в два с половиной раза, и г-н Кузнецов решил оставить вклад еще на год. В итоге размер суммы, полученной в «Первом Муниципальном»
составил рублей. Определите какой процент за первый год начислил банк «Первый Муниципальный», если в банку из под макарон Семен «вложил» рублей.

1. Семен Кузнецов планировал вложить все свои сбережения на сберегательный счет в банк «Навроде» под 500%, рассчитывая

Слайд 5 2. В январе 2000 г ставка по депозитам в банке

«Возрождение» составила х% годовых, тогда как в январе 2001 г - у% годовых, причем известно, что х+у=30%. В январе 2000 г вкладчик открыл счет в банке «Возрождение», положив на него некоторую сумму. В январе 2001г, по прошествии года с того момента вкладчик снял со счета пятую часть этой суммы. Укажите значение х, при котором сумма на счету вкладчика в январе 2002 года станет максимально возможной.
2. В январе 2000 г ставка по депозитам в банке «Возрождение» составила х% годовых, тогда как

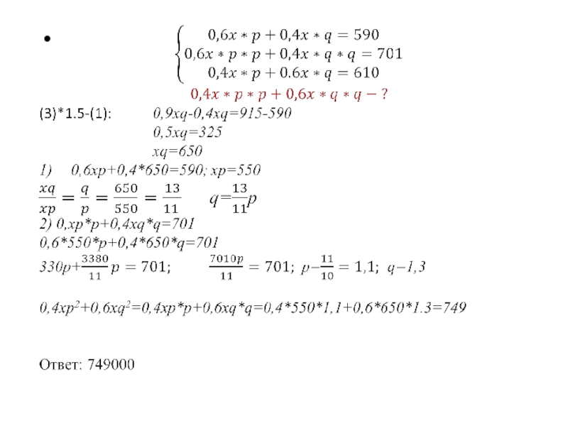
Слайд 93. Известно, что вклад, находящийся в банке с начала года, возрастет

в конце года на определенный процент, свой для каждого банка. В начале года Степан положил 60% некоторой суммы денег в первый банк, а оставшуюся часть суммы во второй банк. К концу года сумма этих вкладов стала равна 590000 рублей, а к концу следующего года 701000. Если бы Степан первоначально положил 60% своей суммы во второй банк, а оставшуюся часть в первый, то по истечении одного года сумма вклада бы стала 610000 рублей. Какова бы была сумма вкладов в этом случае к концу второго года?
3. Известно, что вклад, находящийся в банке с начала года, возрастет в конце года на определенный процент,

Что такое shareslide.ru?

Это сайт презентаций, где можно хранить и обмениваться своими презентациями, докладами, проектами, шаблонами в формате PowerPoint с другими пользователями. Мы помогаем школьникам, студентам, учителям, преподавателям хранить и обмениваться учебными материалами.


Для правообладателей

Яндекс.Метрика

Обратная связь

Email: Нажмите что бы посмотреть