Презентация, доклад по теме Прогрессии в жизни

Содержание

В работе дается ответ на вопрос: действительно ли прогрессии играют большую роль в повседневной жизни? Для этого сделан анализ сделан исторический экскурс для установления авторства теории о прогрессиях. Приведены примеры применения прогрессий в различных

Слайд 1





Арифметическая и геометрическая прогрессии в окружающей нас жизни

Арифметическая  и геометрическая  прогрессии  в окружающей нас жизни

Слайд 2 В работе дается ответ на вопрос: действительно ли прогрессии

играют большую роль в повседневной жизни? Для этого сделан анализ сделан исторический экскурс для установления авторства теории о прогрессиях. Приведены примеры применения прогрессий в различных отраслях хозяйства. Сделан анализ влияния размножения живых организмов в геометрической прогрессии на жизнь на Земле.

Аннотация проекта

В работе дается ответ на вопрос: действительно ли прогрессии играют большую роль в повседневной жизни?

Слайд 3 В 9 классе мы изучаем прогрессии: дали

определение, научились находить по формулам любой член прогрессии, сумму первых членов прогрессии. Найдя ответы на вопросы: имеет ли это какое - либо практическое значение и как давно люди знают последовательности, как возникло это понятие, мы подтвердим или опровергнем утверждение о том, что математика – наука очень древняя и возникла она из практических нужд человека, что алгебра является частью общечеловеческой культуры.

Актуальность исследования
(Почему это важно для нас?):

В 9 классе мы изучаем прогрессии: дали определение, научились находить по формулам любой

Слайд 4 Проблемный вопрос:
Действительно ли прогрессии играют
большую роль

в повседневной жизни?
Проблемный вопрос:  Действительно ли прогрессии играютбольшую роль в повседневной жизни?

Слайд 5Объект исследования: последовательности: арифметическая и геометрическая прогрессии.
Предмет исследования: практическое применение этих

прогрессий
Объект исследования: последовательности: арифметическая и геометрическая прогрессии.Предмет исследования: практическое применение этих прогрессий

Слайд 6 Гипотеза исследования:
На

уроках математики мы много раз слышали о том, что математика – наука очень древняя и возникла она из практических нужд человека. Видимо, и прогрессии имеют определенное практическое значение.
Гипотеза исследования:      На уроках математики мы много раз слышали о

Слайд 7Цель исследования:
установить картину возникновения
понятия прогрессии и выявить примеры
их

применения.

Цель исследования:   установить картину возникновенияпонятия прогрессии и выявить примерыих применения.

Слайд 9По страницам
школьных
учебников
Последовательности:
путешествие
в глубь веков
Прогрессии
в природе
Прогрессии
в банковских расчетах

и в промышленности

Прогрессии
в старых учебниках по математике

Прогрессии в книгах
по занимательной математике

Выводы и источники информации

По страницамшкольных учебниковПоследовательности:путешествиев глубь вековПрогрессиив природеПрогрессиив банковских расчетах     и в промышленности Прогрессиив старых

Слайд 10Алгебра. 9 класс, : Учебник для общеобразовательных учреждений / Макарычев Ю.Н.,

Миндюк Н.Г., Суворова С.Б./ под ред. С.А. Теляковского . -М.: Просвещение, 2009, -271с. № 581, 582, 583, 598, 614, 616, 629,637, 638, 639, 640, 641, 642, 674 (14 задач).

Алгебра. 9 класс, : Учебник для общеобразовательных учреждений / Макарычев Ю.Н., Миндюк Н.Г., Нешков К.И., Феактистов И.Е. . -М.: Мнеозина, 2008, -447с. № 698, 699,702,725,734, 788, 789 (7 задач)

Математика. Алгбра.Функции. Анализ данных.9 кл.: Учебник для общеобразовательных учебных заведений/ Г.В. Дорофеев , С.Б. Суворова, Е.А. Бунимович, Л.В. Кузнецова, С.С. Минаева; под ред. Г.В. Дорофеева.-М.:Дрофа, 2000,-352с.: № 511, 514, 515, 527(в-г), 539, 540, 542, 543, 563-566, 573-578, 591, 595 - 601, 604, 605, 620,622-626, 628, 638 - 643, 645, 647, 648, 650, 651, 653-659 (54 задачи).

Алгебра. 9 класс, в 2ч. Ч.2. Учебник для общеобразовательных учреждений / Мордкович А.Г., П.В. Семенов , -М.: Мнемозина, 2010, -224с : № 16.63-16.66, 17.35, 17.46, 17.51. 17.58 (8 задач).
Алгебра. 9 класс, : Учебник для общеобразовательных учреждений / Макарычев Ю.Н., Миндюк Н.Г., Суворова С.Б./ под ред.

Слайд 11 Арифмети́ческая прогре́ссия —
числовая последовательность, в которой

каждое последующее число, начиная со второго, получается из предыдущего увеличением его на определённое число.
Имеет вид: a1, a1+d, a1+2d, a1+3d, …, a1+(n-1)d,…

Геометри́ческая прогре́ссия — последовательность чисел, в которой каждое последующее число, начиная со второго, получается из предыдущего умножением его на определённое число.
Имеет вид: b1, b1q, b1q2, b1q3,… ,b1qn-1,…
Арифмети́ческая прогре́ссия —  числовая последовательность, в которой каждое последующее число, начиная со второго, получается

Слайд 12an-an-1=d;
an+1-an=d;
an-an-1=an+1-an
2an=an+1+an-1

bn:bn-1=d;
bn+1:bn=d;
bn:bn-1=bn+1:bn
bn2=bn+1·bn-1

an-an-1=d;an+1-an=d;an-an-1=an+1-an2an=an+1+an-1bn:bn-1=d;bn+1:bn=d;bn:bn-1=bn+1:bnbn2=bn+1·bn-1

Слайд 13Формулы
Арифметическая прогрессия














Геометрическая прогрессия
























ФормулыАрифметическая прогрессия Геометрическая прогрессия

Слайд 14Установите
«родство»
прогрессий
a1, a2, a3, . . .
an+1=an+d
bn+1=bn ·q
an=а1+d (n-1)
bn = b1qn-1


d = an -а1

q =bn+1:bn





характеристические
свойства

Установите«родство»прогрессийa1, a2, a3, . . .an+1=an+dbn+1=bn ·qan=а1+d (n-1) bn = b1qn-1 d = an -а1q =bn+1:bnхарактеристические свойства

Слайд 15an+1=an+d
bn+1=bn ·q
an=а1+d (n-1)
bn = b1qn-1
d = an -а1
q =bn+1:bn
Прочитав

определения
арифметической
и геометрической
прогрессий
можно обратить внимание
на то, что они похожи.
Надо лишь заменить
сложение
умножением.
А зная формулу n-го члена
арифметической
прогрессии,
можно получить
формулу
для геометрической
прогрессии,
если заменить сложение
умножением и умножение –
возведением в степень
an+1=an+dbn+1=bn ·qan=а1+d (n-1) bn = b1qn-1 d = an -а1q =bn+1:bnПрочитав определения арифметической и геометрической прогрессий можно

Слайд 16Числовая последовательность, каждый
член которой, начиная со второго,
равен предшествующему члену,


сложенному с одним и тем же числом,
умноженному на одно и то же число,
называется арифметической прогрессией
геометрической
Числовая последовательность, каждый член которой, начиная со второго, равен предшествующему члену, сложенному с одним и тем же

Слайд 17

“Родство” прогрессий становится еще более заметным,
если сравнить их характеристические свойства.


Здесь тоже достаточно заменить сложение умножением,
а деление на два - извлечением корня второй степени,
и из характеристического свойства арифметической прогрессии
получится характеристическое свойство геометрической прогрессии
“Родство” прогрессий становится еще более заметным, если сравнить их характеристические свойства. Здесь тоже достаточно заменить сложение умножением,

Слайд 18
Любой член арифметической прогрессии,
геометрической
начиная со второго, является
средним

арифметическим
геометрическим
предшествующего и последующего членов.

Любой член  арифметической  прогрессии, геометрическойначиная со второго, являетсясредним  арифметическим

Слайд 19Имеют ли
арифметическая и геометрическая прогрессии
прикладное значение?

Имеют ли арифметическая и геометрическая прогрессии прикладное значение?

Слайд 20В соревновании по стрельбе за каждый промах в серии из 25

выстрелов стрелок получал штрафные очки: за первый промах — одно штрафное очко, за каждый последующий — на 0,5 очка больше, чем за предыдущий. Сколько раз попал в цель стрелок, получивший 7 штрафных очков?
Решение. Составим математическую модель задачи. Система штрафных очков составляет арифметическую прогрессию, первый член которой равен 1, а разность – 0,5. Сумма первых n членов ( количество промахов) равно 7. Найдем число промахов - n.
В соревновании по стрельбе за каждый промах в серии из 25 выстрелов стрелок получал штрафные очки: за

Слайд 21 Больной принимает лекарство по следующей схеме: в первый

день он принимает 5 капель, а в каждый следующий день — на 5 капель больше, чем в предыдущий. Приняв 40 капель, он 3 дня пьет по 40 капель лекарства, а потом ежедневно уменьшает прием на 5 капель, доведя его до 5 капель. Сколько пузырьков лекарства нужно купить больному, если в каждом содержится 20 мл лекарства (что составляет 250 капель)?
Больной принимает лекарство по следующей схеме: в первый день он принимает 5 капель, а

Слайд 22Решение. Составим математическую модель задачи:
5, 10, 15,…,40,

40, 40, 35, 30,…,5



ап=а1+d(n-1),
40=5+5(п-1),
п=8,
Sп=((a1+aп)n)/2, S8 =(5+40)·8:2=180,
180 капель больной принимал по схеме в первый период и столько же по второй период. Всего он принял 180+40+180=400(капель), всего больной выпьет 400:250=1,6 (пузырька). Значит, надо купить 2 пузырька лекарства.



возрастающая
арифметическая
прогрессия
а1=5, d=5

убывающая
арифметическая
прогрессия
с1=5, d=-5

Решение. Составим математическую модель задачи:    5, 10, 15,…,40, 40, 40, 35, 30,…,5  ап=а1+d(n-1),

Слайд 23Улитка ползет по дереву. За первую минуту она проползла 30 см,

а за каждую следующую минуту — на 5 см больше, чем за предыдущую. За какое время достигнет улитка вершины дерева длиной 5,25 м, если считать, что движение начато от его основания?
Решение. a1 =30, d=5, Sn= 525, n>0.
Sn= (2a1+ d (n-1))n:2; 525= (2·30+ 5 (n-1))n:2; 1050= (60+ 5 (n-1))n;
1050= 55 n + 5n2;
n2 +11 n -210=0, n1=-21, n2=10 (n>0).
Улика достигнет вершины за 10 дней.
Улитка ползет по дереву. За первую минуту она проползла 30 см, а за каждую следующую минуту —

Слайд 24Альпинисты в первый день восхождения поднялись на высоту 1400 м, а

затем каждый следующий день они проходи ли на 100 м меньше, чем в предыдущий. За сколько дней они покорили высоту в 5000 м?
Решение. Составим математическую модель задачи: 1400, 1300, …, 1400-100(n-1). a1=1400; d=-100, Sn=5000. Надо найти n.
Sn= (2a1+ d (n-1))n:2;
5000= (2·1400-100 · (n-1)) n:2; Условию задачи удовлетворяет
10000= (2800-100 n+100) n; n=4 ( при n=25 аn=-1000, но аn>0)
10000= (2900-100 n) n; Значит, альпинисты покорили
100 n2-2900 n+10000=0; высоту за 4 дня.
n2-29 n+100=0; n=25, n=4. Ответ: за 4 дня.

Альпинисты в первый день восхождения поднялись на высоту 1400 м, а затем каждый следующий день они проходи

Слайд 25За изготовление и установку самого нижнего железобетонного кольца колодца заплатили 26

условных единиц (у. в.). а за каждое следующее кольцо платили на 2 у. е. меньше, чем за предыдущее. Кроме того, по окончании работы было уплачено ещё 40 у. е.. Средняя стоимость изготовления и установки кольца оказалась равной 22 и 4/9 у. е.. Сколько колец было установлено?


Решение. а1=26, d=-2.



9n2-41n-360=0,

n1=9, , n - целое число.

Было изготовлено и установлено 9 колец.

За изготовление и установку самого нижнего железобетонного кольца колодца заплатили 26 условных единиц (у. в.). а за

Слайд 26При свободном падении тело прошло в первую секунду 5м, а в

каждую следующую на 10м больше. Найдите глубину шахты, если свободно падающее тело достигло его дна через 5 с. после начала падения.
Решение. Составим математическую модель задачи:
впервую секунду 5м,
во вторую секунду 15м,
в третью секунду 25м,
в четвертую секунду 35м,
в пятую секунду 45м.
Всего за пять секунд 5+15+25+35+45=125(м).
Ответ: глубина шахты 125м.
При свободном падении тело прошло в первую секунду 5м, а в каждую следующую на 10м больше. Найдите

Слайд 27При свободном падении тело прошло в первую секунду 5м, а в

каждую следующую на 10м больше. Найдите глубину шахты, если свободно падающее тело достигло его дна через 5 с. после начала падения.
Решение. Составим математическую модель задачи: а1=5, d=10. а5=а1+4d; а5=45.
S5=(a1+a5)·n:2; S5=(5+45)·5:2=125;
глубина шахты 125м.
Ответ: 125м.
При свободном падении тело прошло в первую секунду 5м, а в каждую следующую на 10м больше. Найдите

Слайд 28Задача. При хранении бревен строевого леса их укладывают как показано на

рисунке. Сколько брёвен находится в одной кладке, если в ее основании положено 12 бревен?
Решение. Составим математическую модель задачи: 1, 2, 3, 4,…,12. Это арифметическая прогрессия, а1=1, d=1,аn=12. Надо найти n.
аn=a1+d(n-1); 12=1+1(n-1); n=12.
Sn=(a1+an)∙n:2; Sn=(1+12)·12:2; Sn=78.
В одной кладке находится 78 бревен.
Ответ: 78 бревен.
Задача. При хранении бревен строевого леса их укладывают как показано на рисунке. Сколько брёвен находится в одной

Слайд 29Задача
Три числа составляют арифметическую прогрессию. Найдите эти числа, если их сумма

равна 27, а при уменьшении первого числа на 1, уменьшении второго на 3 и при увеличении третьего на 3, получили геометрическую прогрес.
ЗадачаТри числа составляют арифметическую прогрессию. Найдите эти числа, если их сумма равна 27, а при уменьшении первого

Слайд 30
Решение.

Решение.

Слайд 31
Если d=6, то а1=3, а2=9,а3=15.
Если d=-10, то а1=19, а2=9,а3=-1.
Тогда, если арифметическая

прогрессия
3, 9, 15, то геометрическая прогрессия 2, 6, 18. Если арифметическая прогрессия 19, 9, -1, то геометрическая прогрессия 18, 6, 2.

Ответ: 3, 9,15 или 19, 9, -1.

Если d=6, то а1=3, а2=9,а3=15.Если d=-10, то а1=19, а2=9,а3=-1.Тогда, если арифметическая прогрессия 3, 9, 15, то геометрическая

Слайд 32
1. Чтобы отправить четыре бандероли, требуется четыре разные почтовые марки на

общую сумму 120 рублей.  Цены марок  составляют арифметическую прогрессию. Сколько стоит самая дорогая марка, если она в три раза дороже самой дешевой?

2. В первом ряду кинотеатра 21 кресло, В каждом последующем ряду на 2 кресла больше, чем в предыдущем. Сколько кресел в 40 ряду?

3. Длины сторон выпуклого многоугольника образуют арифметическую прогрессию с разностью 4см. Периметр многоугольника равен 75см, а наибольшая сторона равна 23см. Сколько сторон имеет данный многоугольник.

Еще задачи с практическим содержанием

1. Чтобы отправить четыре бандероли, требуется четыре разные почтовые марки на общую сумму 120 рублей.  Цены марок

Слайд 33
Сделав анализ задач на прогрессии с практическим содержанием

мы увидели, что прогрессии встречаются при решении задач в медицине, в строительстве, в банковских расчетах, в живой природе, в спортивных соревнованиях и в других жизненных ситуациях. Следовательно, нам необходим навык применения знаний, связанных с прогрессиями.


Сделав анализ задач на прогрессии с практическим содержанием мы увидели, что прогрессии встречаются при

Слайд 34Последовательности: путешествие в глубь веков

Последовательности:  путешествие  в глубь веков

Слайд 35 Первые теоретические сведения, связанные с прогрессиями, дошли

до нас в документах Древней Греции.
В Древнем Египте в V в до н.э. греки знали прогрессии и их суммы:
1+2+3+…+n = =2+4+6+…+2n = n·(n+1).
Некоторые формулы, относящиеся к прогрессиям, были известны китайским и индийским ученым (V в.)
Первые теоретические сведения, связанные с прогрессиями, дошли до нас в документах Древней Греции.

Слайд 36Примеры отдельных арифметических и геометрических прогрессий можно встретить еще в древневавилонских

и греческих надписях, имеющих возраст около четырех тысячелетий и более. В древней Греции еще пять столетий до н.э. были известны такие суммы:
1+2+3+…+n=½n(n+1);
1+3+5+…+(2n-1)=n2;
2+4+6+…+2n=n(n+1).
Примеры отдельных арифметических и геометрических прогрессий можно встретить еще в древневавилонских и греческих надписях, имеющих возраст около

Слайд 37 В клинописных табличках вавилонян, как и в египетских

папирусах, относящихся ко второму тысячелетию до нашей эры, встречаются примеры арифметических и геометрических прогрессий. Вот пример задачи из египетского папируса Ахмеса: «Пусть тебе сказано: раздели 10 мер ячменя между 10 человеками и, разность же между каждым человеком и его соседом равна меры».
Задачи на прогрессии, дошедшие до нас из древности, были связаны с запросами хозяйственной жизни: распределение продуктов, деление наследства и другие.
В трудах АРХИМЕДА (ок. 287-212 гг. до н.э.) излагаются первые сведения о прогрессиях.


В клинописных табличках вавилонян, как и в египетских папирусах, относящихся ко второму тысячелетию до

Слайд 38
Как Архимед вычислял площадь круга…

Вначале Архимед вписывал в круг шестиугольник, затем на каждой стороне построил равнобедренный треугольник – получался двенадцатиугольник. Постепенно удваивая число сторон, Архимед получил 24-угольник, 48-угольник и, наконец, 96-угольник. Построенные многоугольники все более и более покрывали собой площадь круга, как бы постепенно “исчерпывая” ее. Между прочим, этот метод нахождения площади круга до сих пор, через 2200 лет после смерти Архимеда, излагается в современных школьных учебниках геометрии.

Как Архимед вычислял площадь круга…    Вначале Архимед вписывал в круг шестиугольник,

Слайд 39
В ходе своих исследований Архимед нашел сумму

бесконечной геометрической прогрессии со знаменателем 1/4, что явилось первым примером появления в математике бесконечного ряда…

                             .

В ходе своих исследований Архимед нашел сумму бесконечной геометрической прогрессии со знаменателем 1/4,

Слайд 40В “Исчислении песчинок” Архимед впервые сопоставляет арифметическую и геометрическую прогрессии, устанавливает

между ними связь:
1, 2, 3, 4, 5, …
10, 102, 103, 104, 105, …
и указывает на связь между ними, например:
103·105=103+5=108,
т.е. для умножения двух членов геометрической прогрессии достаточно сложить соответствующие члены арифметической прогрессии и взять полученную сумму в качестве показателя 10.


В “Исчислении песчинок” Архимед впервые сопоставляет арифметическую и геометрическую прогрессии, устанавливает между ними связь:1, 2, 3, 4,

Слайд 41
Одно из доказательств Архимеда, изложенное в его произведении “Квадратура параболы”,

сводится к суммированию бесконечно убывающей геометрической прогрессии:

                             .

Одно из доказательств Архимеда, изложенное в его произведении “Квадратура параболы”, сводится к суммированию бесконечно убывающей геометрической

Слайд 42Для решения некоторых задач из геометрии и механики Архимед вывел формулу

суммы квадратов натуральных чисел, хотя ею пользовались и до него:

                                   .

Для решения некоторых задач из геометрии и механики Архимед вывел формулу суммы квадратов натуральных чисел, хотя ею

Слайд 43Пифагор (IV в. до н. э.) и его ученики рассматривали последовательности,

связанные с геометрическими фигурами. Подсчитывая число кружков в треугольниках, квадратах, пятиугольниках, они получали:
- последовательность (ап) треугольных чисел 1, 3, 6, 10, 15, ... ;
- последовательность (bп) квадратных чисел 1, 4, 9, 16, 25, ... ;
- последовательность (сп) пятиугольных чисел 1, 5, 12, 22, 35, ...
Пифагор (IV в. до н. э.) и его ученики рассматривали последовательности, связанные с геометрическими фигурами. Подсчитывая число

Слайд 44 В древности вычислители часто считали с помощью

камешков и, естественно, отмечали случаи, когда камешки можно было сложить в виде правильной фигуры.



В древности вычислители часто считали с помощью камешков и, естественно, отмечали случаи, когда

Слайд 45Зададим эту последовательностей формулой п-ого члена.
Последовательность (ап) треугольных чисел получается из

последовательности натуральных чисел 1, 2, 3, ... , т. е. из арифметической прогрессии, в которой первый член и разность равны 1, следующим образом:
а1 = 1, а2 = 1 + 2, а3 = 1 + 2 + 3, ап = 1 + 2 + 3 + ... + п.
Значит, ап = (1 + п ):2·п.
Зададим эту последовательностей формулой п-ого члена.Последовательность (ап) треугольных чисел получается из последовательности натуральных чисел 1, 2, 3,

Слайд 46Последовательность (bп) квадратных чисел аналогичным способом получается из последовательности нечетных чисел

1, 3, 5, ... , т. е. из арифметической прогрессии, первый член которой равен 1 и разность равна 2:
b1= 1, b2 = 1 + 3, bз = 1 + 3 + 5, …, bn = 1 + 3 + 5 + ... + 2п- 1.
Следовательно, bn =(1+2n-1):2·n; bn=n2 . Мы пришли к формуле, очевидной для последовательности квадратных чисел.
Последовательность (bп) квадратных чисел аналогичным способом получается из последовательности нечетных чисел 1, 3, 5, ... , т.

Слайд 47Последовательность (cп) пятиугольных чисел аналогичным способом получается из последовательности нечетных чисел

1, 4, 7, ... , т. е. из арифметической прогрессии, первый член которой равен 1 и разность равна 3: с1= 1, с2 = 1 + 4,
bз = 1 + 4 + 7, …, сn = 1 + 4 + 7 + ... +(1+3( п- 1)).
Следовательно, сn =(1+1+3( п- 1)):2·n; сn=(3n-1)·n/ 2


Последовательность (cп) пятиугольных чисел аналогичным способом получается из последовательности нечетных чисел 1, 4, 7, ... , т.

Слайд 48У европейцев правило для нахождения суммы членов любой арифметической прогрессии встречается

впервые в сочинении Леонардо Пизанского «Книга об абаке» (1202 г.)
У европейцев правило для нахождения суммы членов любой арифметической прогрессии встречается впервые в сочинении Леонардо Пизанского «Книга

Слайд 49 "Книге абака" представляет собой объемный труд, содержащий почти все арифметические

и алгебраические сведения того времени и сыгравший значительную роль в развитии математики в Западной Европе в течении нескольких следующих столетий. В частности, именно по этой книге европейцы познакомились с индусскими (арабскими) цифрами. Сообщаемый в этой книге материал поясняется на примерах задач, составляющих значительную часть этого тракта.

Слайд 50 Наиболее известной из сформулированных Фибоначчи задач

является "задача о размножении кроликов", которая привела к открытию числовой последовательности 1, 1, 2, 3, 5, 8, 13, ..., именуемой впоследствии "рядом Фибоначчи".
Наиболее известной из сформулированных Фибоначчи задач является

Слайд 51Задача Фибоначчи :
Некто поместил пару кроликов в

некоем месте, огороженном со всех сторон стеной, чтобы узнать, сколько пар кроликов родится при этом в течении года, если природа кроликов такова, что через месяц пара кроликов производит на свет другую пару, а рождают кролики со второго месяца после своего рождения.
Задача Фибоначчи :     Некто поместил пару кроликов в некоем месте, огороженном со всех

Слайд 52Ясно, что если считать первую пару кроликов новорожденными, то на второй

месяц мы будем по прежнему иметь одну пару; на 3-й месяц- 1+1=2; на 4-й- 2+1=3 пары(так как из двух имеющихся пар потомство дает лишь одна пара); на 5-й месяц- 3+2=5 пар (лишь 2 родившиеся на 3-й месяц пары дадут потомство на 5-й месяц); на 6-й месяц- 5+3=8 пар (так как потомство дадут только те пары, которые родились на 4-м месяце) и т. д.


Ясно, что если считать первую пару кроликов новорожденными, то на второй месяц мы будем по прежнему иметь

Слайд 53Чтобы ответить на вопрос задачи, воспользуемся следующей схемой. Кружочек — это

пара кроликов. Стрелка, направленная вниз, указывает на эту же пару в следующем месяце; а стрелка, направленная вправо, указывает на появившееся потомство этой пары.
Чтобы ответить на вопрос задачи, воспользуемся следующей схемой. Кружочек — это пара кроликов. Стрелка, направленная вниз, указывает

Слайд 54Ряд чисел 0, 1, 1, 2, 3, 5, 8, 13, 21,

34, 55 и т.д. известен как ряд Фибоначчи. Особенность последовательности чисел состоит в том, что каждый ее член, начиная с третьего, равен сумме двух предыдущих 2 + 3 = 5; 3 + 5 = 8; 5 + 8 = 13, 8 + 13 = 21; 13 + 21 = 34 и т.д.,
Ряд чисел 0, 1, 1, 2, 3, 5, 8, 13, 21, 34, 55 и т.д. известен как

Слайд 55Таким образом, если обозначить число пар кроликов, имеющихся на n- м

месяце через Uk , то u1=1, u2=1, u3=2, u4=3, u5=5, u6=8, u7=13, u8=21 и т. д., причем образование этих чисел регулируется общим законом:
un =un-1 + un-2 при всех n >2,
ведь число пар кроликов на n-1 м месяце равно числу n-2 пар кроликов на предшествующем месяце плюс число вновь родившихся пар, которое совпадает с числом un-2 пар кроликов, родившихся на n-2 ом месяце (так как лишь эти пары кроликов дают потомство).
Таким образом, если обозначить число пар кроликов, имеющихся на n- м месяце через Uk , то u1=1,

Слайд 56Числа un, образующие последовательность
1, 1, 2, 3, 5, 8, 13,

21, 34, 55, 89, 144, 233,... называются
числами Фибоначчи", а сама последовательность ––
последовательностью Фибоначчи.
Суть последовательности Фибоначчи в том, что
начиная с третьего числа каждое следующее число
получается сложением двух предыдущих .
Числа un, образующие последовательность 1, 1, 2, 3, 5, 8, 13, 21, 34, 55, 89, 144, 233,...

Слайд 57Числа Фибоначчи — элементы числовой последовательности 1, 1, 2, 3, 5,

8, 13, 21, 34, 55, 89, 144, 233, 377, 610, 987, 1597 … в которой каждое последующее число равно сумме двух предыдущих чисел. Название по имени средневекового математика Леонардо Пизанского. Построение последовательности:
Числа Фибоначчи — элементы числовой последовательности 1, 1, 2, 3, 5, 8, 13, 21, 34, 55, 89,

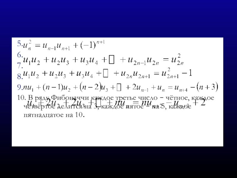
Слайд 581.Сумма первых n-чисел Фибоначчи: u1+u2+…+un=un+2 -1.
2.Сумма чисел Фибоначчи с нечетными номерами:

u1+u3+u5+…+u2n-1=u2n.
3.Сумма чисел Фибоначчи с четными номерами:
u2+u4+…+u2n=u2n+1 -1.
4.Сумма квадратов первых n-чисел Фибоначчи:



1.Сумма первых n-чисел Фибоначчи: u1+u2+…+un=un+2 -1.2.Сумма чисел Фибоначчи с нечетными номерами:

Слайд 595.
6.
7.
8.
9.
10. В ряду Фибоначчи каждое третье число – чётное, каждое четвёртое

делится на 3, каждое пятое – на 5, каждое пятнадцатое на 10.
5.6.7.8.9.10. В ряду Фибоначчи каждое третье число – чётное, каждое четвёртое делится на 3, каждое пятое –

Слайд 601)Пусть в формуле (*) m=n u2n=un-1un +unu n+1 или

u2n=un(un-1+un+1) так как un=un+1-un-1u2n = (un+1-un-1)(un+1+un-1) или u2n=(un+1)2-(un-1)2.
Значит, разность квадратов двух чисел Фибоначчи, номера которых отличаются на 2, есть снова число Фибоначчи.
2)Пусть m=2n u3n=(un+1)3+(un )3-(un-1)3.



11. un+m=un-1um+unum+1 (*)

1)Пусть в формуле (*) m=n   u2n=un-1un +unu n+1 или u2n=un(un-1+un+1) так как un=un+1-un-1u2n = (un+1-un-1)(un+1+un-1)

Слайд 61Интересно было бы уметь сразу получить любой член ряда , зная

лишь номер n его места. Оказывается, это вполне возможно, но здесь мы столкнемся с одной из удивительных неожиданностей, которые нередки в математике. Любой член ряда Фибоначчи- число целое, номер места - тоже число целое. Естественно было бы ожидать, что любой член ряда  получается в зависимости от номера и занимаемого им места при помощи действий только над целыми числами (например, как в прогрессиях). Но это не так. Не только целые числа, но даже все целые и дробные (рациональные) бессильны образовать интересующую нас формулу. Из затруднительного положения помогают выйти два иррациональных числа:



Если n - номер места, то любой член ряда
Фибоначчи можно получить по формуле

Интересно было бы уметь сразу получить любой член ряда , зная лишь номер n его места. Оказывается,

Слайд 62Отношение смежных чисел ряда приближается к отношению золотого деления. Так, 21 : 34

= 0,617, а 34 : 55 = 0,618. Это отношение обозначается символом Ф. Только это отношение – 0,618 : 0,382 – дает непрерывное деление отрезка прямой в золотой пропорции, увеличение его или уменьшение до бесконечности, когда меньший отрезок так относится к большему, как больший ко всему.
Так имя итальянского математика монаха Леонардо Фибоначчи косвенным образом связано с историей золотого сечения.


Отношение смежных чисел ряда приближается к отношению золотого деления. Так, 21 : 34 = 0,617, а 34 : 55 = 0,618.

Слайд 63 Сами по себе прогрессии известны так давно, что конечно, нельзя

говорить о том, кто их открыл. Ведь уже натуральный ряд есть арифметическая прогрессия с первым членом и разностью, равных 1.
О том, как давно была известна геометрическая прогрессия, свидетельствует знаменитое предание о создании шахмат. Рассказывают, что индийский принц Сирам рассмеялся, услышав, какую награду попросил у него изобретатель шахмат: за первую клетку шахматной доски – одно зерно, за вторую – два, за третью – четыре, за четвертую – восемь и так до 64-го поля. Здесь явная геометрическая прогрессия с первым членом, равным 1, и знаменателем, равным 2.

Сами по себе прогрессии известны так давно, что конечно, нельзя говорить о том, кто их открыл.

Слайд 64 В сочинении Евклида «Начала» (около 300 лет до н.э.) в

словесной форме содержится теорема относительно геометрической прогрессии, которую можно выразить следующим равенством:

Этот результат только по внешнему виду отличается от современной формулы:

В сочинении Евклида «Начала» (около 300 лет до н.э.) в словесной форме содержится теорема относительно геометрической

Слайд 65 В Германии молодой Карл Гаусс (1777-1855)

нашел моментально сумму всех натуральных чисел от 1 до 100, будучи ещё учеником начальной школы.
1+2+3+4+…+98+99+100 =
= (1+100)+(2+99)+(3+98)+…+(50+51)=
=101x50 =5050.

Общее правило для суммирования любой конечной геометрической прогрессии встречается в книге Н. Шюке «Наука о числах», увидевшей свет в 1484 году.

В Германии молодой Карл Гаусс (1777-1855) нашел моментально сумму всех натуральных чисел

Слайд 66Общая формула для вычисления суммы любой бесконечно убывающей геометрической прогрессии была

выведена в первой половине XVII века несколькими математиками (среди них был французский математик Пьер Ферма)
Общая формула для вычисления суммы любой бесконечно убывающей геометрической прогрессии была выведена в первой половине XVII века

Слайд 67На связь между прогрессиями первым обратил внимание великий Архимед.
В

печати же эти мысли отчетливо прозвучали лишь в 1544 г., когда вышла книга немецкого математика Михаила Штифеля «Общая арифметика», который составил такую таблицу:

На связь между прогрессиями первым обратил внимание великий Архимед. В печати же эти мысли отчетливо прозвучали лишь

Слайд 68-В верхней строчке написана арифметическая прогрессия с разностью 1. В нижней

строчке – геометрическая прогрессия со знаменателем 2.
-В верхней строчке написана арифметическая прогрессия с разностью 1. В нижней строчке – геометрическая прогрессия со знаменателем

Слайд 69Пример №1.
Надо умножить 1/2 на 128. Обращаем внимание, что

в таблице над 1/2  написано -1, а над 128 написано 7. Сложим эти числа, получим 6, а под шестеркой читаем 64. Это и есть искомое произведение.
Пример №1.   Надо умножить 1/2 на 128. Обращаем внимание, что в таблице над 1/2  написано -1,

Слайд 70Пример №2. Разделим 32 на 8. Обращаем внимание, что в таблице

над 32 написано 5, а над 8 написано 3. Вычтем эти числа 5-3, получим 2, а под двойкой читаем 4. Это и есть искомое частное.
Пример №2. Разделим 32 на 8. Обращаем внимание, что в таблице над 32 написано 5, а над

Слайд 71Если вспомнить тождества an·am=an+m и am:an=am-n, то нижнюю строчку таблицы Штифеля

можно переписать так:
Если вспомнить тождества an·am=an+m и am:an=am-n, то нижнюю строчку таблицы Штифеля можно переписать так:

Слайд 72 Теперь можно увидеть, что, если показатели

степени составляют арифметическую прогрессию, то сами степени составляют геометрическую прогрессию. 
  Заметим, что с помощью таблицы можно возводить в степень извлекать корни. Например, чему равно 43? Против 4 читаем 2,умножаем 2 на 3, получаем 6, против 6 читаем 64, значит, 43  = 64.
А чему равен корень четвертой степени из 256? Делим 8 на 4, против 2 читаем 4, значит, корень четвертой степени из 256 равен 4.

        


Теперь можно увидеть, что, если показатели степени составляют арифметическую прогрессию, то сами

Слайд 73 В начале XIII века в городе Пизе (Италия)

жил большой знаток всевозможных соотношений между  числами и весьма искусный вычислитель Леонардо (с добавлением к его имени Пизанский). Его звали еще Фибоначчи, что значит сын Боначчи. В 1202 году он издал книгу на латинском языке под названием «Книга об абаке» (Incipit Liber, Abbaci compositus a Leonardo filius Bonacci Pisafto), которая содержала в себе всю совокупность знаний того времени по арифметике и алгебре. Это была одна из первых книг в Европе, учившая употреблять десятичную систему счисления. Автор познакомил Европу с индийскими (арабскими) цифрами. Это был труд, в котором были собраны все известные на то время задачи. Книга Леонардо Пизанского получила широкое распространение и более двух веков являлась наиболее авторитетным источником знаний в области чисел.
В начале XIII века в городе Пизе (Италия) жил большой знаток всевозможных соотношений

Слайд 74 Одна из задач, рассмотренная Фибоначчи, называется "задачей о поиске

наилучшей системы гирь для взвешивания на рычажных весах" или просто "задачей о гирях". В русской историко-математической литературе "задача о гирях" известна под названием "задачи Баше-Менделеева", названной так в честь французского математика 17 в. Баше де Мезириака, который разместил эту задачу в своем "Сборнике приятных и занимательных задач" (1612 г.) и блестящего русского химика Дмитрия Ивановича Менделеева, который интересовался этой задачей будучи директором Главной Палаты мер и весов России.
Одна из задач, рассмотренная Фибоначчи, называется

Слайд 75Сущность "задачи Баше-Менделеева" состоит в следующем: при какой системе гирь, имея

их по одной, можно взвесить всевозможные грузы Q от 0 до максимального груза Qmax, чтобы значение максимального груза Qmax было бы наибольшим среди всех возможных вариаций? Известно два варианта решения этой задачи: (1) когда гири позволено класть на свободную чашу весов; (2) когда гири позволяется класть на обе чаши весов. В первом случае "оптимальная система гирь" сводится к двоичной системе гирь: 1, 2, 4, 8, 16, ..., а появляющийся при этом "оптимальный" алгоритм или способ измерения рождает двоичную систему счисления, лежащую в основе современных компьютеров. Во втором случае наилучшей является троичная система гирь: 1, 3, 9, 27, 81, ..., а возникающий при этом способ измерения рождает троичную симметричную систему счисления, которая была применена в троичном компьютере Сетунь, построенном в 50-е годы в МГУ.
Сущность

Слайд 76Еще одна задача интересна в исторической связи и носит имя "задачи

о семи старухах". Старухи направляются в Рим, каждая имеет 7 мулов, каждый мул тащит 7 мешков, в каждом мешке находится 7 хлебов, у каждого хлеба лежит 7 ножей, каждый нож нарежет 7 кусков хлеба. Чему равно общее число всего перечисленного?
В историческом отношении эта задача интересна тем, что она тождественна с задачей, которая встречалась в папирусе Ринда (Египет), то есть через три тысячи лет после египетских школьников задачу предлагалось разрешить итальянским школьникам.
Еще одна задача интересна в исторической связи и носит имя

Слайд 77Общее число всего перечисленного
7+49+343+2401+16807+117649=137256
1
7
6
5
4
3
2
У каждой старухи 7 мулов - всего

49 мулов

Каждой мул тащит 7 мешков- всего 343 мешка

В каждом мешке 7 хлебов - всего 2401 хлеб

У каждого хлеба лежит 7 ножей –всего 16807ножей

Каждый нож нарежет 7 кусков хлеба – всего 117649 кусков хлеба

Общее число всего перечисленного 7+49+343+2401+16807+117649=1372561765432У каждой старухи 7 мулов - всего 49 муловКаждой мул тащит 7 мешков-

Слайд 78 7, 49, 343, 2401, 16807, 117649
–это геометрическая прогрессия,

первый член b1= 7 и знаменатель прогрессии q=7.
bn= b1 q n-1. b6= 7 ·76-1= 7 ·75= 76= 117649.
Sn =(b1(q n -1))/(q-1);
S6 = (7(7 6 -1))/(7-1) = (7(117649 -1))/6=
=7 ·117648:6=137256.
7, 49, 343, 2401, 16807, 117649 –это геометрическая прогрессия, первый член b1= 7 и знаменатель

Слайд 79Шли семь старцев У каждого старца по семь костылей; На каждом костыле

по семь сучков; На каждом сучке по семь кошелей; В каждом кошеле по семь пирогов; В каждом пироге по семь воробьёв. Сколько всего воробьёв?
Ответ: 117649 воробьёв
Каждый из 7 человек имеет 7 кошек. Каждая кошка съедает по 7 мышек, каждая мышка за одно лето может уничтожить 7 ячменных колосков, а из зёрен одного колоска может вырасти 7 горстей ячменного зерна. Сколько горстей зерна ежегодно спасается благодаря кошкам?
Ответ: 16807 горстей
Шли семь старцев У каждого старца по семь костылей;  На каждом костыле по семь сучков;

Слайд 80Искусство Леонардо в решении числовых задач изумляло всех. Высокая репутация Фибоначчи

привлекла однажды (в 1225 г.) в Пизу государя Римской империи Фридриха II, который приехал в сопровождении группы математиков, желавших публично испытать Леонардо. Одна из задач, предложенных на турнире, имела следующее содержание: Найти полный квадрат, остающийся полным квадратом как после увеличения его, так и после уменьшения на 5. Напомню, что полным квадратом называется число, из которого точно извлекается квадратный корень.
Фибоначчи после некоторых размышлений нашел такое число. Оно оказалось дробным: 1681/144 или (41/12)2.
Какими соображениями руководствовался  Фибоначчи  во время турнира, мы никогда не узнаем, но задачу он решил блестяще.

Искусство Леонардо в решении числовых задач изумляло всех. Высокая репутация Фибоначчи привлекла однажды (в 1225 г.) в

Слайд 81В XIX веке в Пизе
был поставлен
памятник учёному

В XIX веке в Пизе был поставлен памятник учёному

Слайд 82Прогрессии
в природе

Прогрессии в природе

Слайд 83 Летом инфузории размножаются бесполым способом делением пополам.
Вопрос: сколько будет инфузорий после

15-го размножения?

Все организмы обладают интенсивностью размножения в геометрической прогрессии

Летом инфузории размножаются бесполым способом делением пополам.	Вопрос: сколько будет инфузорий после 15-го размножения?Все организмы обладают интенсивностью

Слайд 84b15 = 2·214 = 32 768
Численность любого вида при отсутствии ограничений

растёт в соответствии с геометрической прогрессией;
Кривая роста численности любого вида при отсутствии ограничений называется экспонентой.

b15 = 2·214 = 32 768Численность любого вида при отсутствии ограничений растёт в соответствии с геометрической прогрессией;

Слайд 85 Известно, что бактерии размножаются делением: одна бактерия делится

на две; каждая из этих двух в свою очередь тоже делится на две, и получаются четыре бактерии; из этих четырех в результате деления получаются восемь бактерий и т. д. Результат каждого удвоения будем называть поколением.

бактерии…

Известно, что бактерии размножаются делением: одна бактерия делится на две; каждая из этих двух

Слайд 86 Способность к размножению у бактерий настолько велика, что

если бы они не гибли от разных причин, а беспрерывно размножались, то за трое суток общая масса потомства одной только бактерии могла бы составить 7500 тонн. Таким громадным количеством бактерий можно было бы заполнить около 375 железнодорожных вагонов.

бактерии…

Способность к размножению у бактерий настолько велика, что если бы они не гибли от

Слайд 87Бактерия, попав в живой организм, к концу 20-й минуты делится на

две бактерии, каждая из них к концу следующих 20 минут делится опять на две и т.д. Найдите число бактерий, образующихся из одной бактерии к концу суток.
Решение. В сутках 1440 минут, каждые двадцать минут появляется новое поколение - за сутки 72 поколения. По формуле суммы n первых членов геометрической прогрессии, у которой b1=1, q=2, n=72, находим, что S72=272-1= 4 722 366 482 869 645 213 696 - 1=
= 4 722 366 482 869 645 213 695.
Бактерия, попав в живой организм, к концу 20-й минуты делится на две бактерии, каждая из них к

Слайд 88
Всего бактерий 4 септиллиона 722 сектиллиона 366 квинтиллионов 482 квадриллионов 869 триллиона 645 миллиарда 709 миллионов 213 тысяча

695
Всего бактерий  4 септиллиона 722 сектиллиона 366 квинтиллионов 482 квадриллионов 869 триллиона 645 миллиарда 709 миллионов

Слайд 89
в пищевой
промышленности
(для приготовления
напитков,
кисломолочных
продуктов,
при квашении,

солении и др.)


в сельском
хозяйстве
(для приготовления
силоса, корма
для животных и др.)


в фармацевтической промышленности (для создания лекарств, вакцин)



в коммунальном
хозяйстве и
природоохранных
мероприятиях
(для очистки сточных
вод,ликвидации
нефтяных пятен)

в пищевой промышленности (для приготовлениянапитков, кисломолочных продуктов, при квашении, солении и др.)в сельском хозяйстве (для

Слайд 90 “Потомство пары мух съест мёртвую лошадь также

скоро как лев”.
Карл Линней Девятое поколение одной
пары мух наполнило бы куб,
сторона которого равна 140 км,
или же составило бы нить,
которой можно опоясать земной
шар 40 млрд. раз.

мухи…

“Потомство пары мух съест мёртвую лошадь также скоро как лев”.

Слайд 91 “Потомство одного одуванчика за 10 лет может

покрыть пространство в 15 раз больше суши земного шара”.
К. А. Тимирязев

одуванчик…

“Потомство одного одуванчика за 10 лет может  покрыть пространство в 15 раз больше

Слайд 92 Одно растение одуванчика занимает на земле площадь 1 кв. метр и

даёт в год около 100 летучих семян.

а) Сколько кв. км площади покроет всё потомство одной особи одуванчика через 10 лет при условии, если он размножается беспрепятственно по геометрической прогрессии?


б) Хватит ли этим растениям на 11-й год места на поверхности суши земного шара?
Одно растение одуванчика занимает на земле площадь 1 кв. метр и даёт в год около 100 летучих

Слайд 93 Одно растение одуванчика занимает на земле площадь 1 кв. метр и

даёт в год около 100 летучих семян.

а) Сколько кв. км площади покроет всё потомство одной особи одуванчика через 10 лет при условии, если он размножается беспрепятственно по геометрической прогрессии?
[1012 км2]

б) Хватит ли этим растениям на 11-й год места на поверхности суши земного шара?
[нет, Sсуши = 148 млн км2]
Одно растение одуванчика занимает на земле площадь 1 кв. метр и даёт в год около 100 летучих

Слайд 94 Всего за пять поколений, то
есть за 1 – 1,5 летних

месяцев,
дна единственная тля может
оставить более 300 млн.
потомков, а за год её потомство
способно будет покрыть
поверхность земного шара слоем
толщиной почти в 1 метр.
Всего за пять поколений, тоесть за 1 – 1,5 летних месяцев, дна единственная тля можетоставить более

Слайд 95Потомство пары птиц величиной с воробья при продолжительности жизни в четыре

года может покрыть весь земной шар за 35 лет.
Потомство пары птиц величиной с воробья при продолжительности жизни в четыре года может покрыть весь земной шар

Слайд 96При каждом делении амёбы получается две новые особи. Сколько особей будет

после 6 делений? После 10 делений?

Гидра размножается почкованием, причём при каждом делении получается 5 новых особей. Какое количество делений необходимо для получения 625 особей?

При каждом делении амёбы получается две новые особи. Сколько особей будет после 6 делений? После 10 делений?

Слайд 98 Положение некоторых видов на кривой вероятности попадания в

Красную книгу, построенной на основе годовой плодовитости. Зубр, тигр и русская выхухоль находятся в Красной книге. В качестве примера вида, которого нет в Красной книге, показан кролик.


Положение некоторых видов на кривой вероятности попадания в Красную книгу, построенной на основе годовой

Слайд 99Прогрессии
в банковских расчетах,
в промышленности,
в разных отраслях науки,
в сельском хозяйстве


Прогрессии в банковских расчетах, в промышленности,в разных отраслях науки,в сельском хозяйстве

Слайд 100Представьте себе, что вы открыли в банке вклад в сумме а

р. Под р% годовых на t лет. У вас есть две стратегии поведения: либо в конце каждого года хранения вклада снимать проценты по вкладу, т.е. полученную прибыль в размере р., либо прийти в банк один раз — в конце срока хранения вклада. Kaкой доход вы получите в том и другом случаях?

В первом случае при t = 1 вы получите (а + )р., при
t = 2 ваша итоговая сумма составит (а + )р., при t = 3
(а + )р. и т. д. Математическая модель ситуации — конечная
арифметическая прогрессия а, а + , а + ,а + …, а + .
Итак, при первой стратегии поведения за t лет вы получит)
а(1 + )— это так называемая формула простых процентов







Представьте себе, что вы открыли в банке вклад в сумме а р. Под р% годовых на t

Слайд 101
Если вы решили прийти в банк только в конце

срока хранения вклада, то при t = 1 получаемая сумма составит, как и в первом случае, (а + )р., т. е. а (1 + )р.; сумма вклада увеличится в (1 + )раз. Во столько же раз она увеличится и к концу второго года хранения, и к концу третьего года хранения и т. д.
Математическая модель ситуации — конечная геометрическая прогрессия а, а(1 + ), а(1 + )2,а(1 + )3,…, а(1 + )t.
Итак, при второй стратегии поведения за t лет вы получите
а(1 + )tруб..— это так называемая формула сложных процентов.


Если вы решили прийти в банк только в конце срока хранения вклада, то при t

Слайд 102Рассмотрим конкретный пример.
Пусть вклад составляв 10 000 р.,

банк дает 10% годовых, срок
хранения вклада - 5 лет. Если вы выбрали стратегию простых
процентов, то к концу срока хранения вы получите в итоге сумму,
равную10 000 • (1 + ) , т. е. 15 000 р. Если же вы выбрали стратегию
сложных процентов, то к концу срока хранения вы получите
в итоге сумму, равную 10 000 • ( 1 + )5, т. е. 16 105,1 р.
Как говорится в одном рекламном слогане, почувствуйте разницу.

[Алгебра. 9 класс, в 2ч. Ч.1. Учебник для
общеобразовательных учреждений/ Мордкович А.Г.,
П.В. Семенов ,-М.:Мнемозина,2010,-224с.(с.169-171) ]




Рассмотрим конкретный пример.   Пусть вклад составляв 10 000 р., банк дает 10% годовых, срок хранения

Слайд 103 Директоры двух заводов А и В

встретились на совещании. Из их беседы выяснилось, что оба завода выпустили за последний год одинаковые количества продукции, а именно по 1000 т металлических изделий. На совещании было решено добиваться дальнейшего роста продукции, причём был намечен ежегодный прирост на 40%.
Директоры двух заводов А и В встретились на совещании. Из их беседы

Слайд 104Директор завода А выполнял задание следующим образом. В первый год после

совещания его завод выпустил на 40% больше, чем раньше, т. е. на две пятых, а именно:
1000 +1000 • 2/5 = 1000 + 400 =1400.

За второй год завод выпустил ещё на 400 т больше,
т. е.
1400 + 400=1800,
и так далее. В результате выпуск изделий за последующие 4 года оказался таким:

до совещания.......1000,
1-й год..........1400,
2-й »........ 1800,
3-й ».......... 2200,
4-й ».......... 2600.
Директор завода А выполнял задание следующим образом. В первый год после совещания его завод выпустил на 40%

Слайд 105Директор завода В поступил иначе. За первый год после совещания он

выпустил на 40% больше, чем раньше, т. е.
1000 +1000 • 2/5 =1400 т.
За второй год директор завода В добился дальнейшего, роста производительности труда, и завод выпустил за второй год на 40% больше, чем за первый год:
1400 + 1400 • 2/5 = 1400 + 560 = 1960 т.
На третий год он составил план по тому же принципу: опять увеличить выработку на 40% по сравнению с предыдущим годом:
1960+ 1960 • 2/5 = 1960 + 784 = 2744 т.
За четвёртый год завод В дал такую выработку:
2744 + 2744 • 2/5 = 2744 + 1098 = 3842.
В результате выпуск изделий заводом В оказался следующим:

до совещания.......1000,
1-й год..........1400,
2-й »........ 1960,
3-й ».......... 2744,
4-й ».......... 3842.
Директор завода В поступил иначе. За первый год после совещания он выпустил на 40% больше, чем раньше,

Слайд 106
Заметим,

что коэффициент увеличения здесь равен 7/5 , так как выпуск каждого года составляет 140% предыдущего года,
140%= 140/100 = 7/5 .

Через 4 года директоры заводов А и В снова встретились на совещании и сравнили выработку обоих заводов. Оказалось, что завод В выпустил значительно больше изделий, чем завод A.

Завод А сохранял всё время одну и ту же надбавку, равную 400 т в год. Завод В сохранял неизменным отношение выработки двух соседних лет, т. е. коэффициент увеличения k = 7/5 .

Заметим, что коэффициент увеличения здесь равен 7/5

Слайд 107Представим на графике продукцию
того и другого завода

Представим на графике продукцию того и другого завода

Слайд 108Представьте, что вы – учетчик на стройке. Привезли большое количество бревен

строевого леса. Нужно быстро определить, сколько бревен привезли, чтобы закрыть наряд шоферу.
В данном случае, чтобы подсчет бревен осуществлялся по простым формулам, один из способов – использовать естественное расположение бревен так, чтобы в каждом верхнем ряду их оказалось на единицу меньше, чем в нижнем. Тогда число бревен ряда образует арифметическую прогрессию и общее количество легко подчитывается по формуле суммы арифметической прогрессии с разностью, равной единице.
















Представьте, что вы – учетчик на стройке. Привезли большое количество бревен строевого леса. Нужно быстро определить, сколько

Слайд 109После каждого движения поршня разрежающего насоса из сосуда удаляется 20% находящегося

в нём воздуха. Определите давление воздуха внутри сосуда, после 6 движений поршня, если первоначально давление было 760 мм.рт.ст.

Тело в первую секунду движения прошло 7 м, а за каждую следующую секунду – на 3 м больше, чем за предыдущую. Какое расстояние тело прошло за восьмую секунду?

После каждого движения поршня разрежающего насоса из сосуда удаляется 20% находящегося в нём воздуха. Определите давление воздуха

Слайд 110Деление ядер урана происходит с помощью нейронов. Нейтрон, ударяя по ядру

урана раскалывает его на две части. Получается два нейтрона. Затем два нейтрона, ударяя по двум ядрам, раскалывают их еще на 4 части и т.д. — это геометрическая прогрессия.

При повышении температуры в арифметической прогрессии скорость химической реакции вырастает в геометрической прогрессии.

Возведение многоэтажного здания — пример арифметической прогрессии. Каждый раз высота здания увеличивается на 3 метра.
Деление ядер урана происходит с помощью нейронов. Нейтрон, ударяя по ядру урана раскалывает его на две части.

Слайд 111
Вписанные друг в друга правильные треугольники — это геометрическая прогрессия.

Денежные вклады

под проценты — это пример геометрической последовательности. Зная формулы суммы членов геометрической последовательности, можно подсчитывать сумму на вкладе.

Равноускоренное движение — арифметическая прогрессия, т.к. за каждые промежутки времени тело увеличивает скорость в одинаковое число раз.


Вписанные друг в друга правильные треугольники — это геометрическая прогрессия. Денежные вклады под проценты — это пример геометрической последовательности.

Слайд 112 Задачи на применение прогрессий встречаются
в старых учебниках
по математике



Задачи на применение прогрессий встречаются в старых учебниках по математике

Слайд 113Купец имел 14 чарок серебряных, причем веса чарок растут по арифметической

прогрессии с разностью 4. Последняя чарка весит 59 латов. Определить, сколько весят все чарки.
Решение
а14=а1+13d, a1=59-13·4=7, S14=(7+59)/2·14=462. Ответ: все чарки весят 462 лата.

Задачи из «Арифметики» Л.Ф.Магницкого

Купец имел 14 чарок серебряных, причем веса чарок растут по арифметической прогрессии с разностью 4. Последняя чарка

Слайд 114 Яблоки
Садовник продал

первому покупателю половину всех яблок и ещё пол-яблока, второму покупателю – половину оставшихся и ещё пол-яблока; третьему – половину оставшихся и ещё пол-яблока и так далее. Седьмому покупателю он продал половину оставшихся яблоки ещё пол-яблока; после этого яблок у него не осталось. Сколько яблок было у садовника?

Задачи из «Арифметики» Л.Ф.Магницкого

Яблоки    Садовник продал первому покупателю половину всех яблок и ещё

Слайд 115Решение. Пусть у садовника было х яблок.

Решение. Пусть у садовника было х яблок.

Слайд 116Составим уравнение:  


- геометрическая прогрессия, где

,   n = 7,  .

Уравнение примет следующий вид:

 

x=127
Ответ: 127 яблок было у садовника.
Составим уравнение:  

Слайд 117 В «Сборнике алгебраических задач» (часть вторая, авторы Шапочников

Н.А., Вальцов Н.К.; Москва, Ленинград, Учпедгиз, 1949) было найдено двадцать задач на арифметическую прогрессию.
В «Сборнике алгебраических задач» (часть вторая, авторы Шапочников Н.А., Вальцов Н.К.; Москва, Ленинград, Учпедгиз,

Слайд 118Решение. a1=40, d=15, Sn=1690. Найти n.
Sn=(2a1+d(n-1))∙n:2; n>0;
1690=(80+15(n-1))∙n:2;
1690=(80+15(n-1))∙n:2;
3380=(65+15n)∙n;
15n2+65n-3380=0;
3n2+13n-676=0;
n1=-52/3; n2=13.
Так как по

условию задачи n>0, то n=13.
Работники выкопали колодец глубиной 13 аршин.
Решение. a1=40, d=15, Sn=1690. Найти n. Sn=(2a1+d(n-1))∙n:2; n>0;1690=(80+15(n-1))∙n:2;1690=(80+15(n-1))∙n:2;3380=(65+15n)∙n;15n2+65n-3380=0;3n2+13n-676=0;n1=-52/3; n2=13.Так как по условию задачи n>0, то n=13.Работники выкопали

Слайд 119Решение. Применим формулы п –го члена и суммы п первых членов

арифметической прогрессии получим систему уравнений:
a1-10n-30=0,
a1n+10n-1440=0;
Решив эту систему способом подстановки, найдем n=-16 и n=9. Так как n>0, то приходим к выводу, что свой долг человек вернул за 9 месяцев, отдав в первый месяц 120 рублей.


Решение. Применим формулы п –го члена и суммы п первых членов арифметической прогрессии получим систему уравнений:

Слайд 120Решение. Второе тело пройдет за n сек
Sn=(2a1+d(n-1))∙n:2=(2·3+5 ·(n-1))∙n:2=

=(1+5n)∙n:2 (фут), а первое тело - 10n фут,
((1+5n)∙n:2+ 10n) фут – расстояние между телами в начальный момент, по условию оно равно 153 футам. (1+5n)∙n:2+ 10n=153. n=6, n=-10,2. Так как n>0, то n=6.
Значит, тела встретятся через 6 секунд.
Решение. Второе тело пройдет за n сек  Sn=(2a1+d(n-1))∙n:2=(2·3+5 ·(n-1))∙n:2= =(1+5n)∙n:2 (фут), а первое тело - 10n

Слайд 121Числа   градусов,    содержащихся   в    последовательных  внутренних   углах некоторого многоугольника,

составляют прогрессию,  разность которой 10; наименьший угол этого многоугольника 100°. Сколько в многоугольнике сторон?

Решение. Sn=(2a1+d(n-1))∙n:2= =(200+10(n-1))∙n:2=5n2+85n. Сумма внутренних углов многоугольника находится по формуле, известной из геометрии: (n-2)·180.
5n2+95n= 180n-360;
5n2-85n+360=0;
n2-17n+72=0;
n=8, n=9.
Существует два многоугольника, удовлетворяющие условию задачи.

Числа   градусов,    содержащихся   в     последовательных  внутренних   углах некоторого многоугольника, составляют прогрессию,  разность которой 10; наименьший

Слайд 122
Решение. Найдем путь каждого тела.
St+5-St=724,5; 16,1(t+5)2-16,1t2=724,5;

t=2.
Тела будут друг от друга на расстоянии
724,5 фута через 2 секунды.


Решение. Найдем путь каждого тела.St+5-St=724,5;     16,1(t+5)2-16,1t2=724,5;

Слайд 123 Задачи на применение прогрессий встречаются
в книгах
по занимательной математике

Задачи на применение прогрессий встречаются в книгах по занимательной математике

Слайд 124 Царь древней Индии Шерам пригласил к

себе изобретателя шахмат Сета и спросил, какую бы
награду хотел бы он получить за изобретение столь
мудрой игры.
Тогда Сета попросил царя на первую клетку
шахматной доски положить 1 зерно, на вторую – 2 зерна,
на третью – 4, на четвертую – 8 и т.д., т.е. на каждую
клетку вдвое больше зерна, чем на предыдущую клетку.
Поначалу царь удивился столь “скромному” запросу
изобретателя и поспешно повелел выполнить ту просьбу.
Однако, как выяснилось, казна царя оказалось слишком
“ничтожной” для выполнения этой просьбы.

Древняя индийская легенда

Царь древней Индии Шерам пригласил к себе изобретателя шахмат Сета и спросил,

Слайд 125 Действительно, чтобы выполнить эту просьбу, потребовалось бы

количество зерен, равное сумме 1 + 2 + 22 +.. + 263, а эта сумма равна 18446744073709551615.
Если считать, что 1 пуд зерна содержит 40000 зерен, то для выполнения просьбы потребовалось бы 230 584 300 921 369 пудов зерна. Если полагать, что в среднем ежегодно собирается 1 000 000 000 пудов зерна, то для выполнения указанной просьбы нашей стране нужно работать (не расходуя ни одного зерна) на протяжении 230584 лет.
Действительно, чтобы выполнить эту просьбу, потребовалось бы количество зерен, равное сумме 1 +

Слайд 126

Столько зёрен должен был получить изобретатель шахмат:
S64=264-1=
=18446744073704551615

Столько зёрен  должен был получить изобретатель шахмат:S64=264-1==18446744073704551615

Слайд 127
Всего зерен 18 квинтиллионов 446 квадриллионов 744 триллиона 73 миллиарда (биллиона) 709 миллионов 551 тысяча 615

Всего зерен  18 квинтиллионов 446 квадриллионов 744 триллиона 73 миллиарда (биллиона) 709 миллионов 551 тысяча 615

Слайд 128 S 64 = 264 - 1 = 1,84

· 1019
- стандартный вид
данного числа

S 64 = 264 - 1 = 1,84 · 1019

Слайд 129 Однажды богач заключил выгодную, как ему казалось, сделку

с человеком, который целый месяц ежедневно должен был приносить по 100 тыс. руб., а взамен в первый день месяца богач должен был отдать 1 коп., во второй-2 коп., в третий-4 коп., в четвертый-8 коп. и т. д. в течении 30 дней. Сколько денег получил богач и сколько отдал? Кто выиграл от этой сделки?

Это задача из «Сборника старинных занимательных задач по математике» Игнатьева Е.И.

Однажды богач заключил выгодную, как ему казалось, сделку с человеком, который целый месяц ежедневно

Слайд 130Считают “мужик” и “купец”
“Мужик” заплатил: S30 = 100 000• 30 =

3 000 000 (рублей).
“Купец” заплатил: 1; 2; 4;… q=2/1=2.
S30 =1• (230 – 1):(2-1)= 2 30 -1= =1 073 741 824 -1 =1 073 741 823 (коп.) т.е. 10 738 418 руб.23коп
Считают “мужик” и “купец” “Мужик” заплатил: S30 = 100 000• 30 = 3 000 000 (рублей).“Купец” заплатил: 1; 2; 4;…

Слайд 131 Удивительно, как быстро разбегаются по посёлку слухи!

Иной раз не пройдет и двух часов со времени какого– нибудь происшествия, которое видели всего несколько человек, а новость уже облетела весь посёлок: все о ней знают, все слышали. Итак, задача:
В поселке 16 000 жителей. Приезжий в 8.00 рассказывает новость трем соседям; каждый из них рассказывает новость уже трем своим соседям и т. д. Во сколько эта новость станет известна половине посёлка?




Удивительно, как быстро разбегаются по посёлку слухи! Иной раз не пройдет и двух

Слайд 132Решение. Итак, в 8. 15 утра новость была известна только четверым:

приезжему и трём местным жителям. Узнав эту новость, каждый из трёх граждан поспешил рассказать её трём другим. Это потребовало также четверти часа. Значит, спустя полчаса после прибытия новости в город о ней узнали уже 4+3·3=13 человек. Каждый из девяти вновь узнавших поделился в ближайшие четверть часа с тремя другими гражданами, так что к 8.45 утра новость стала известна 13+9·3= 40 гражданам. Если слух распространяется по посёлку и далее таким способом, то есть каждый узнавший эту новость успевает в ближайшие четверть часа передать её трём согражданам, то осведомление посёлка будет происходить по следующему расписанию:
в 9.00 новость узнают 40+27 ·3=121 (человек);
9.15 121+81 ·3 =364 (человек);
9.30 364+243 ·3=1093 (человек);
9.45 1093+729 ·3=3280 (человек);
10.00 3280 + 2187 ·3 =9841(человек).




Решение. Итак, в 8. 15 утра новость была известна только четверым: приезжему и трём местным жителям. Узнав

Слайд 133Эту задачу можно решить по-другому, используя формулу сумму n первых членов

геометрической прогрессии.
В данном случае: q = 3, b1 = 1, Sn = 8000, n –неизвестно.
Подставляя известные числа в формулу, получим:




Чтобы найти n , заметим, что 36 = 729, 32 =9,
38 = 36· 32= 729 · 9=6561, 39=19683.
Значит, n должно быть не меньше 9. При n = 9 имеем:



Значит, на 9-ом шаге более половины жителей города будут знать новость. Легко подсчитать, что это произойдёт в 10.00 утра.






Эту задачу можно решить по-другому, используя формулу сумму n первых членов геометрической прогрессии. В данном случае: q

Слайд 134Задачи на прогрессии есть
и в книгах Я.И. Перельмана

Задачи на прогрессии есть и в книгах Я.И. Перельмана

Слайд 135

Прогрессии в литературе:
строки из “Евгения Онегина”.

«…Не мог он ямба от хорея Как мы не бились отличить…». Отличие ямба от хорея состоит в различных расположениях ударных слогов стиха.
Ямб – это стихотворный размер с ударением на четных слогах 2; 4; 6; 8;…Номера ударных слогов образуют арифметическую прогрессию с первым членом 2 и разностью прогрессии 2.
Хорей – это стихотворный размер с ударением на нечетные слогах стиха. Номера ударных слогов образуют арифметическую прогрессию 1; 3; 5; 7;..
Примеры.
Ямб. «Мой дЯдя сАмых чЕстных прАвил…», прогрессия 2; 4; 6; 8;…
Хорей. «Я пропАл, как звЕрь в загОне»Б.Л.Пастернак, «БУря  мглОю  нЕбо  крОет» А.С. Пушкин, прогрессия 1; 3; 5;7.

Слайд 136Разберёмся в механизмах этих организаций. Организатор начинает вовлекать в свою организацию

и говорит, что, если внести указанную плату по указанным адресам по 1 рублю, а затем заплатить ещё по 5 таким же адресам, вычеркнув первый адрес и дописав свой последним, то через некоторое время вы получите уйму денег. Хотя желающих разбогатеть по щучьему веленью немало, но в выигрыше оказываются только учредители такой игры.
Решение. Дело в том, что число участников увеличивается в 5 раз с каждым кругом. Если пятёрка устроителей подпишет, допустим, 120 человек со своими адресами, то в первом круге участвуют 120 человек, во втором – 600, в третьем – 3 000, …, в десятом – 234  375  000 человек; это намного больше населения страны. Так что участник, включившийся в восьмом или девятом круге, уже ничего не получит.


Разберёмся в механизмах этих организаций. Организатор начинает вовлекать в свою организацию и говорит, что, если внести указанную

Слайд 137Установили, что сами по себе прогрессии известны так давно, что нельзя

говорить о том, кто их открыл.
Убедились в том, что задачи на прогрессии, дошедшие до нас из древности, также как и многие другие знания по математике, были связаны с запросами хозяйственной жизни: распределение продуктов, деление наследства и другими.
Выяснили, что в развитие теории о прогрессиях внесли ученые Архимед, Пифагор и его ученики, французские математики Леонард Фибоначчи и Баше де Мезириака, немецкие математики М. Штифель, Н. Шюке, и К. Гаусс.
Нашли много задач на арифметическую и геометрическую прогрессию в старых и в современных учебниках по математике. Заметили, что арифметическая прогрессия в практических задачах встречается чаще геометрической. Много задач с практическим содержанием в учебнике для 9 класса под редакцией Г.В. Дорофеева [4].
Обнаружили, что интенсивное размножение бактерий в геометрической прогрессии широко применяется в пищевой промышленности, в фармакологии, в медицине, в сельском и коммунальном хозяйствах, в банковских расчетах (начисление сложных процентов).
Установили, что сами по себе прогрессии известны так давно, что нельзя говорить о том, кто их открыл.Убедились

Слайд 138Алгебра. 9 класс. В 2 ч. Ч.1. Учебник для общеобразовательных учреждений/

А.Г.Мордкович. – 9-е изд., стер. – М.:Мнемозина, 2007. – 231 с.;
Алгебра. 9 класс. Учебник для общеобразовательных учреждений/ Ю.Н. Макарычев и др. под ред. С.А. Теляковского –М.: Просвещение, 2009 – 271 с.;
Алгебра. 9 класс, : Учебник для общеобразовательных учреждений / Макарычев Ю.Н., Миндюк Н.Г., Нешков К.И., Феактистов И.Е. . -М.: Мнеозина, 2008, -447с. № 698, 699,702,725,734, 788, 789 (7 задач)
Математика. Алгебра. Функции. Анализ данных.9 кл.: Учебник для общеобразовательных учебных заведений/ Г.В. Дорофеев , С.Б. Суворова, Е.А. Бунимович, Л.В. Кузнецова, С.С. Минаева; под ред. Г.В. Дорофеева. -М. :Дрофа, 2000,-352с.;
Пичурин Л.Ф. За страницами учебника алгебры. Книга для учащихся 7-9 классов средней школы -М.: Просвещение, 1990.-224сю;
Энциклопедический словарь юного математика /Сост. А.П.Савин.- М.: Педагогика, 1989.-352с..
http://n-t.ru/tp/iz/zs.htm
http://students.tspu.ru/students/legostaeva/index.php?page=op
http://festival.1september.ru/articles/568100/


Алгебра. 9 класс. В 2 ч. Ч.1. Учебник для общеобразовательных учреждений/ А.Г.Мордкович. – 9-е изд., стер. –

Что такое shareslide.ru?

Это сайт презентаций, где можно хранить и обмениваться своими презентациями, докладами, проектами, шаблонами в формате PowerPoint с другими пользователями. Мы помогаем школьникам, студентам, учителям, преподавателям хранить и обмениваться учебными материалами.


Для правообладателей

Яндекс.Метрика

Обратная связь

Email: Нажмите что бы посмотреть