Презентация, доклад по теме правила дифференцирования

ТАБЛИЦА ПРОИЗВОДНЫХ

Слайд 1ПРАВИЛА ВЫЧИСЛЕНИЯ
ПРОИЗВОДНЫХ
(Правила дифференцирования)

ПРАВИЛА ВЫЧИСЛЕНИЯ ПРОИЗВОДНЫХ(Правила дифференцирования)

Слайд 2ТАБЛИЦА ПРОИЗВОДНЫХ

ТАБЛИЦА ПРОИЗВОДНЫХ

Слайд 3Значения функции в данной точке:

Значения функции в данной точке:

Слайд 4Значения производной функции в этой точке:

Значения производной функции в этой точке:

Слайд 5ПРАВИЛА ВЫЧИСЛЕНИЯ ПРОИЗВОДНЫХ
Производная суммы равна
сумме производных.
Постоянный множитель
можно выносить
за знак производной.
Производная произведения.
Производная

частного
ПРАВИЛА ВЫЧИСЛЕНИЯ ПРОИЗВОДНЫХПроизводная суммы равнасумме производных.Постоянный множительможно выноситьза знак производной.Производная произведения.Производная частного

Слайд 6ТАБЛИЦА
ПРОИЗВОДНЫХ
ПРАВИЛА ВЫЧИСЛЕНИЯ
ПРОИЗВОДНЫХ

ТАБЛИЦА ПРОИЗВОДНЫХПРАВИЛА ВЫЧИСЛЕНИЯПРОИЗВОДНЫХ

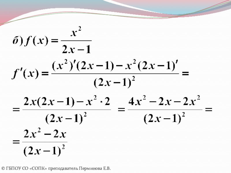
Слайд 7№1.
Найдите производные функций:

№1.Найдите производные функций:

Слайд 25Домашнее задание:
№ 803 (1-3)
807 (1,2)
809 (1-3).

Домашнее задание:		№ 803 (1-3)			807 (1,2)			809 (1-3).

Что такое shareslide.ru?

Это сайт презентаций, где можно хранить и обмениваться своими презентациями, докладами, проектами, шаблонами в формате PowerPoint с другими пользователями. Мы помогаем школьникам, студентам, учителям, преподавателям хранить и обмениваться учебными материалами.


Для правообладателей

Яндекс.Метрика

Обратная связь

Email: Нажмите что бы посмотреть