Презентация, доклад по математике Сумма первых членов геометрической прогрессии

Тема урокаСумма первых n членов геометрической прогрессии

Слайд 1


Слайд 3Тема урока
Сумма первых n членов геометрической прогрессии

Тема урокаСумма первых n членов геометрической прогрессии

Слайд 5Алгоритм
Запишите сумму ряда S= …..
Умножьте обе части равенства на 2.
Выполните вычитание

первой строки из второй.
Упростите полученное выражение.
Запишите ответ.
АлгоритмЗапишите сумму ряда S= …..Умножьте обе части равенства на 2.Выполните вычитание первой строки из второй.Упростите полученное выражение.

Слайд 6Проверка

Проверка

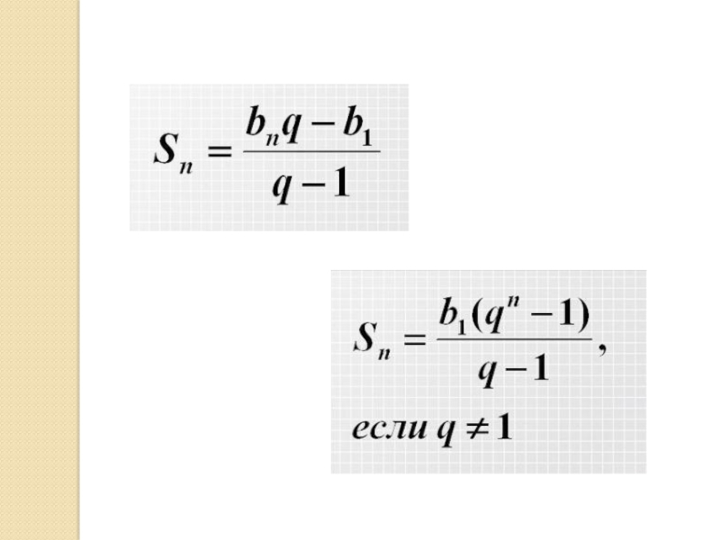
Слайд 8Выведем формулу

Выведем формулу

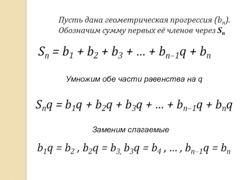
Слайд 9Умножим обе части равенства на q
Заменим

слагаемые
Умножим обе части равенства на q     Заменим слагаемые

Слайд 10Выполним вычитание

Выполним вычитание

Слайд 12Сократите дробь:

Сократите дробь:

Что такое shareslide.ru?

Это сайт презентаций, где можно хранить и обмениваться своими презентациями, докладами, проектами, шаблонами в формате PowerPoint с другими пользователями. Мы помогаем школьникам, студентам, учителям, преподавателям хранить и обмениваться учебными материалами.


Для правообладателей

Яндекс.Метрика

Обратная связь

Email: Нажмите что бы посмотреть