Презентация, доклад по математике на тему Вычисление производной(10 класс)

Содержание

ПРАВИЛА ВЫЧИСЛЕНИЯ ПРОИЗВОДНЫХ“При изучении наук примеры не менее поучительны, нежели правила” - Исаак Ньютон“Примеры учат больше, чем теория” - М.В. Ломоносов

Слайд 1ПРАВИЛА ВЫЧИСЛЕНИЯ
ПРОИЗВОДНЫХ



Учитель математики высшей квалификационной категории МКОУ СОШ №6 п.

Медвеженский
Ксензюк Любовь Павловна

ПРАВИЛА ВЫЧИСЛЕНИЯ ПРОИЗВОДНЫХУчитель математики высшей квалификационной категории МКОУ СОШ №6 п. Медвеженский Ксензюк Любовь Павловна

Слайд 2ПРАВИЛА ВЫЧИСЛЕНИЯ
ПРОИЗВОДНЫХ

“При изучении наук примеры не менее
поучительны, нежели правила”

- Исаак Ньютон
“Примеры учат больше, чем теория” - М.В. Ломоносов
ПРАВИЛА ВЫЧИСЛЕНИЯ ПРОИЗВОДНЫХ“При изучении наук примеры не менее поучительны, нежели правила” - Исаак Ньютон“Примеры учат больше, чем

Слайд 3Цели урока:
Обучающие: закрепить и проверить знания, умения, навыки учащихся по

теме «Формулы и правила дифференцирования».
Развивающие: развивать мыслительную деятельность учащихся, способность самооценки и взаимооценки; формировать умения чётко и ясно излагать свои мысли.
Воспитательные: воспитывать умение работать с имеющейся информацией, умение слушать товарищей, воспитывать уважение к предмету.

Цели урока: Обучающие: закрепить и проверить знания, умения, навыки учащихся по теме «Формулы и правила дифференцирования».Развивающие: развивать

Слайд 41. ТАБЛИЦА ПРОИЗВОДНЫХ 2. ПРАВИЛА ВЫЧИСЛЕНИЯ ПРОИЗВОДНЫХ
ПОВТОРЕНИЕ

1. ТАБЛИЦА ПРОИЗВОДНЫХ 2. ПРАВИЛА ВЫЧИСЛЕНИЯ ПРОИЗВОДНЫХПОВТОРЕНИЕ

Слайд 5

ТАБЛИЦА ПРОИЗВОДНЫХ

ТАБЛИЦА ПРОИЗВОДНЫХ

Слайд 6ПРАВИЛА ВЫЧИСЛЕНИЯ ПРОИЗВОДНЫХ

ПРАВИЛА ВЫЧИСЛЕНИЯ ПРОИЗВОДНЫХ

Слайд 7Установите соответствия
Функция Производная
1) x2+7x а) 2x-sinx
2) x2+ cosx б) 5x4+2
3) sin3x в) -2sin2x
4) сos2x г) 3cos3x
5) х5+2х д) 2х+7

Установите соответствияФункция				 Производная 	1) x2+7x				а) 2x-sinx	2) x2+ cosx			б) 5x4+23) sin3x				в) -2sin2x4) сos2x				г) 3cos3x5) х5+2х				д) 2х+7

Слайд 8Ответы
Функция
1) x2+7x
2) x2+ cosx
3) sin3x
4) сos2x
5) х5+2х
Производная
д) 2х+7
а) 2x-sinx
г) 3cos3x
в) -2sin2x
б) 5x4+2


ОтветыФункция1) x2+7x 2) x2+ cosx3) sin3x4) сos2x	5) х5+2хПроизводная д) 2х+7а) 2x-sinxг) 3cos3xв) -2sin2x	б) 5x4+2

Слайд 9Задание 1.
Найдите производные функций:

Задание 1.Найдите производные функций:

Слайд 10Ответы

Ответы

Слайд 11Решение

Решение

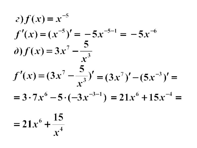
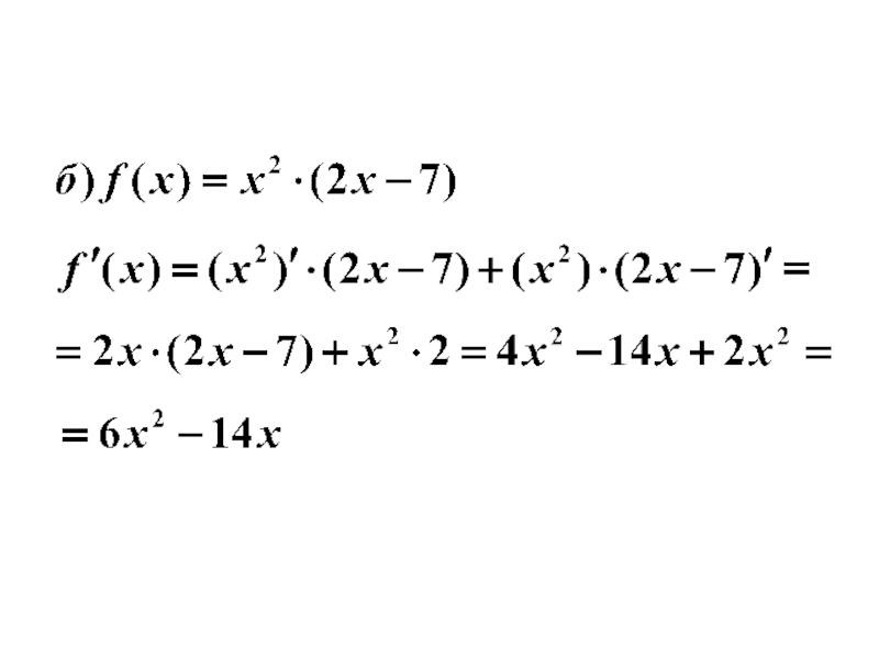
Слайд 15Найдите производную функции
 

Найдите производную функции 

Слайд 16Найдите производную функции
 

Найдите производную функции 

Слайд 17Найдите производную № 1 а

Найдите производную № 1 а

Слайд 18Найдите производную №1 б

Найдите производную №1 б

Слайд 19Задание 2 (а,б).

Задание 2 (а,б).

Слайд 20Решение:

Решение:

Слайд 21Решение:

Решение:

Слайд 23Задание 3 (а,б).

Задание 3 (а,б).

Слайд 24Решение:

Решение:

Слайд 25Рефлексия:
Сегодня на уроке я запомнил…
Сегодня на уроке я научился…
Сегодня

на уроке я узнал …
Сегодня на уроке я выучил…
Сегодня на уроке было интересно …
Сегодня на уроке мне понравилось …

Рефлексия:  Сегодня на уроке я запомнил…Сегодня на уроке я научился… Сегодня на уроке я узнал …

Слайд 26Домашнее задание:
№ 28.16 в, г;
28.21 в, г; 28.23 в,

г

Домашнее задание:	 № 28.16 в, г; 28.21 в, г; 28.23 в, г

Слайд 27Оцените свои знания, полученные на уроке



У меня все отлично
У меня все

хорошо

Возникли трудности

Оцените свои знания, полученные на урокеУ меня все отличноУ меня все хорошоВозникли трудности

Слайд 28Использованный учебник:

Мордкович А.Г. МАТЕМАТИКА 10 класс. Учебник для общеобразовательных учреждений (базовый

уровень) / А.Г.Мордкович, И. М. Смирнова – 8-е изд., стер. – М.: Мнемозина, 2013. – 432с.:ил.
Использованный учебник:Мордкович А.Г. МАТЕМАТИКА 10 класс. Учебник для общеобразовательных учреждений (базовый уровень) / А.Г.Мордкович, И. М. Смирнова

Что такое shareslide.ru?

Это сайт презентаций, где можно хранить и обмениваться своими презентациями, докладами, проектами, шаблонами в формате PowerPoint с другими пользователями. Мы помогаем школьникам, студентам, учителям, преподавателям хранить и обмениваться учебными материалами.


Для правообладателей

Яндекс.Метрика

Обратная связь

Email: Нажмите что бы посмотреть