Презентация, доклад по математике на тему Тригонометрические уравнения

Содержание

ЦЕЛИ УРОКА:Образовательная – проверка усвоения знаний учащихся числовой окружности;Воспитательная – приобретение опыта в использовании информационных технологий в математике; воспитание интереса к предмету;Развивающая – развитие у учащихся самостоятельности мышления.

Слайд 1РЕШЕНИЕ ТРИГОНОМЕТРИЧЕСКИХ УРАВНЕНИЙ

УЧИТЕЛЬ МАТЕМАТИКИ
МОУ
« ПАРТЕНИТСКАЯ ШКОЛА»
Г. АЛУШТЫ
ГЛАДЖИКУРКА

ВИТА
ПАРФИРЬЕВНА

РЕШЕНИЕ ТРИГОНОМЕТРИЧЕСКИХ УРАВНЕНИЙУЧИТЕЛЬ МАТЕМАТИКИ МОУ « ПАРТЕНИТСКАЯ ШКОЛА» Г. АЛУШТЫ ГЛАДЖИКУРКА ВИТА ПАРФИРЬЕВНА

Слайд 2ЦЕЛИ УРОКА:
Образовательная – проверка усвоения знаний учащихся числовой окружности;
Воспитательная – приобретение

опыта в использовании информационных технологий в математике; воспитание интереса к предмету;
Развивающая – развитие у учащихся самостоятельности мышления.
ЦЕЛИ УРОКА:Образовательная – проверка усвоения знаний учащихся числовой окружности;Воспитательная – приобретение опыта в использовании информационных технологий в

Слайд 4ЗАДАНИЕ № 1

















ЗАДАНИЕ № 1

Слайд 5ЗАДАНИЕ № 2 УКАЖИТЕ НА КООРДИНАТНОЙ ОКРУЖНОСТИ ТОЧКУ РΑ С ДАННЫМИ

КООРДИНАТАМИ


















ЗАДАНИЕ № 2 УКАЖИТЕ НА КООРДИНАТНОЙ ОКРУЖНОСТИ ТОЧКУ РΑ С ДАННЫМИ КООРДИНАТАМИ

Слайд 6ЗАДАНИЕ № 3





















0







ЗАДАНИЕ № 30

Слайд 7ЗАДАНИЕ № 4






























ЗАДАНИЕ № 4

Слайд 9Основные формулы тригонометрии

Основные формулы тригонометрии

Слайд 10Что называется arcsin a?
Что называется arccos a?

Что называется arcsin a?Что называется arccos a?

Слайд 11
Чему равен arсcos (-a)?
Чему равен arcsin (-a)?

Чему равен arсcos (-a)?Чему равен arcsin (-a)?

Слайд 13НАЙДИ ОШИБКУ.

1
2
3
4
5








?


НАЙДИ ОШИБКУ.12345?

Слайд 14Назовите формулу нахождения корней
уравнения вида sin x = a?

Назовите формулу нахождения корней уравнения вида sin x = a?

Слайд 15Назовите формулу нахождения корней уравнения вида cos x = a

Назовите формулу нахождения корней уравнения вида cos x = a

Слайд 16УСТАНОВИТЕ СООТВЕТСТВИЕ:
sin x = 0
sin x = - 1
sin

x = 1

cos x = 0

cos x = 1

tg x = 1

cos x = -1

1

2

3

4

5

6

7





УСТАНОВИТЕ СООТВЕТСТВИЕ:sin x = 0 sin x = - 1 sin x = 1 cos x =

Слайд 17УСТАНОВИТЕ СООТВЕТСТВИЕ:
sin x = 0
sin x = - 1
sin

x = 1

cos x = 0

cos x = 1

tg x = 1

cos x = -1

1

2

3

4

5

6

7












Молодцы!


УСТАНОВИТЕ СООТВЕТСТВИЕ:sin x = 0 sin x = - 1 sin x = 1 cos x =

Слайд 18Экспресс-опрос

Экспресс-опрос

Слайд 19Слово «тригонометрия» впервые встречается в 1505 году в заглавии книги немецкого

теолога и математика Питискуса. Происхождение этого слова греческое τρίγωνον – треугольник, μετρεω – мера. Иными словами, тригонометрия – наука об измерении треугольников. Тригонометрия выросла из человеческой практики, в процессе решения конкретных практических задач в областях астрономии, мореплавания и в составлении географических карт.


Слово «тригонометрия» впервые встречается в 1505 году в заглавии книги немецкого теолога и математика Питискуса. Происхождение этого

Слайд 24
Сам термин косинус появился значительно позднее в работах европейских ученых

впервые в конце XVI в.из так называемого «синуса дополнения», т.е. синуса угла, дополняющего данный угол до 90°. «Синус дополнения» или ( по латыни) sinus complementi стали сокращенно записывать как sinus co или co-sinus.


Сам термин косинус появился значительно позднее в работах европейских ученых впервые в конце XVI в.из так

Слайд 35ФРАНСУА ВИЕТ
Франсуа Виет дополнил и систематизировал различные случаи решения плоских и

сферических треугольников, открыл формулы для тригонометрических функций от кратных углов.
ФРАНСУА ВИЕТФрансуа Виет дополнил и систематизировал различные случаи решения плоских и сферических треугольников, открыл формулы для тригонометрических

Слайд 37
Окончательный вид тригонометрия приобрела
в XVIII веке в трудах
Л. Эйлера.

Окончательный вид тригонометрия приобрела в XVIII веке в трудах Л. Эйлера.

Слайд 41 ОДНОРОДНЫЕ ТРИГОНОМЕТРИЧЕСКИЕ УРАВНЕНИЯ

ОДНОРОДНЫЕ    ТРИГОНОМЕТРИЧЕСКИЕ УРАВНЕНИЯ

Слайд 42: cos x

: cos x

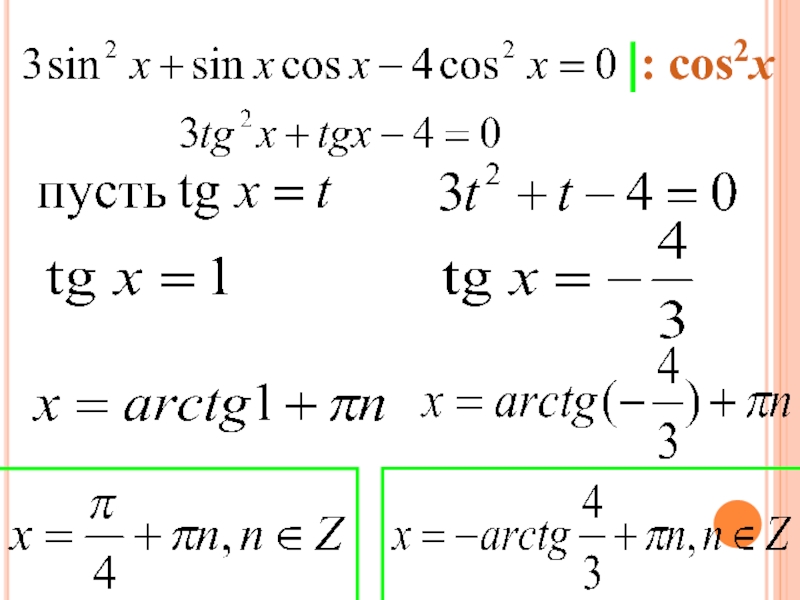
Слайд 43: cos2x

: cos2x

Слайд 44Определите вид уравнения и укажите
способ его решения:

а) sin x = 2 cos x;
б) sin x + cos x = 0;
в) 4 cos 3x + 5 sin 3x = 0;
г) 1 +7 cos²x + 3 sin²x = 0;
д) sin 3x – cos 3x = 0;
е) sin x cos x + cos²x = 0


Определите вид уравнения и укажите способ его решения:

Что такое shareslide.ru?

Это сайт презентаций, где можно хранить и обмениваться своими презентациями, докладами, проектами, шаблонами в формате PowerPoint с другими пользователями. Мы помогаем школьникам, студентам, учителям, преподавателям хранить и обмениваться учебными материалами.


Для правообладателей

Яндекс.Метрика

Обратная связь

Email: Нажмите что бы посмотреть