Презентация, доклад по математике на тему Свойства степени с отрицательным показателем степени (8 класс)

Продолжите равенства

Слайд 1Мало иметь хороший ум, главное – хорошо его применять

Рене Декарт

Мало иметь хороший ум, главное – хорошо его применятьРене Декарт

Слайд 5Продолжите равенства


























Продолжите равенства

Слайд 6Проверим на примерах свойства степени при отрицательных показателях степени





















Проверим на примерах  свойства степени  при отрицательных показателях степени

Слайд 7Гипотеза
Свойства 1-5 выполняются и в случае степени с целым
отрицательным

показателем.

Гипотеза 		Свойства 1-5 выполняются и в случае степени с целым отрицательным показателем.

Слайд 8(an)m=an▪m

n=0
(a0)m=1m=1
a0▪m=a0=1
(a0)m=a0▪m


(an)m=an▪mn=0 	(a0)m=1m=1   	a0▪m=a0=1(a0)m=a0▪m

Слайд 9(an)m=an▪m

2) m=0
(an)0=1
an▪0=a0=1
(an)0=an▪0


(an)m=an▪m2) m=0 	(an)0=1   	an▪0=a0=1(an)0=an▪0

Слайд 10(an)m=an▪m

3) n=m=0
(a0)0=10=1
a0▪0=a0=1
(a0)0=a0▪0


(an)m=an▪m3) n=m=0 	(a0)0=10=1   	a0▪0=a0=1(a0)0=a0▪0

Слайд 11
(an)m=an▪m
4) n, m є N




(an)m=an▪m4) n, m є N

Слайд 12
(an)m=an▪m
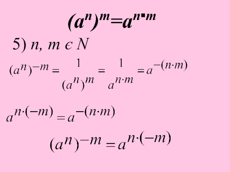
5) n, m є N




(an)m=an▪m 5) n, m є N

Слайд 13
(an)m=an▪m
6) n, m є N




(an)m=an▪m6) n, m є N

Слайд 14Д е ш е ф р о в к а

Д е ш е ф р о в к а

Слайд 15Историческая справка
Отрицательные показатели степени ввел еще в 15 веке математик Шюке.



Англичанин Джон Валлис впервые рассмотрел
вопрос о целесообразности употребления отрицательных показателей.

Исаак Ньютон стал применять их систематически.
В одном из писем в 1676 г. Ньютон указал: "Как алгебраисты вместо АА, ААА и т.д. пишут А2, А3 и т.д., так я ... вместо 1/а, 1/а2, 1/а3 пишу а-1, а-2, а-3и т.д."

Исаак Ньютон
1643 – 1727

Историческая справкаОтрицательные показатели степени ввел еще в 15 веке математик Шюке. Англичанин Джон Валлис впервые рассмотрел вопрос

Слайд 16Домашнее задание
1) Изучить доказательство свойств степени с целым показателем 2) Выполнить из

учебника №№ 1119(а,б), 1122(б,г), 1126(б,г) 3) (Творческое - по желанию) Составить дешефровку на интересный факт связанный с развитием степени с целым показателем.
Домашнее задание1) Изучить доказательство свойств степени с целым показателем  2) Выполнить из учебника №№ 1119(а,б), 1122(б,г),

Слайд 17

Спасибо
за
урок

Спасибозаурок

Слайд 18Вы допустили ошибку
 


Вы допустили ошибку 

Слайд 19Вы допустили ошибку
 


Вы допустили ошибку 

Слайд 20Вы допустили ошибку
 


Вы допустили ошибку 

Слайд 21По определению степени с отрицательным показателем
Вы допустили ошибку

По определению степени с отрицательным показателемВы допустили ошибку

Слайд 22Вы допустили ошибку
 

Вы допустили ошибку 

Что такое shareslide.ru?

Это сайт презентаций, где можно хранить и обмениваться своими презентациями, докладами, проектами, шаблонами в формате PowerPoint с другими пользователями. Мы помогаем школьникам, студентам, учителям, преподавателям хранить и обмениваться учебными материалами.


Для правообладателей

Яндекс.Метрика

Обратная связь

Email: Нажмите что бы посмотреть