Презентация, доклад по математике на тему Степень с рациональным показателем (1 курс СПО)

Цели и задачи Цель: Обобщить и систематизировать знания по преобразованию степени.Задачи: Изучить представление степени с натуральными, целыми и рациональными показателями.Изучить свойства степени.Выработать умение выполнять преобразование выражений, содержащих степени с дробным показателем

Слайд 1Степень с рациональным показателем
Толоконников А.В.
Преподаватель КРК «Интеграл»
Государственное бюджетное профессиональное образовательное

учреждение
«Курсавский региональный колледж «Интеграл»

Курсавка 2016 г.

Степень с рациональным показателемТолоконников А.В. Преподаватель КРК «Интеграл»Государственное бюджетное профессиональное образовательное учреждение «Курсавский региональный колледж «Интеграл»Курсавка 2016

Слайд 2Цели и задачи
Цель: Обобщить и систематизировать знания по преобразованию степени.
Задачи:


Изучить представление степени с натуральными, целыми и рациональными показателями.
Изучить свойства степени.
Выработать умение выполнять преобразование выражений, содержащих степени с дробным показателем
Цели и задачи Цель: Обобщить и систематизировать знания по преобразованию степени.Задачи: Изучить представление степени с натуральными, целыми

Слайд 3Степень с натуральным показателем
Если показатель степени натуральное число n, то


Например:



Если показатель степени 0, то

Если показатель степени 1, то

Степень с натуральным показателемЕсли показатель степени натуральное число n, то Например: Если показатель степени 0, то Если

Слайд 4Степень с целым показателем
Если показатель степени целое отрицательное число -n, то:

Например:


Степень с целым показателемЕсли показатель степени целое отрицательное число -n, то:Например:

Слайд 5Например ,
=
=
·
=
·
=
Степень с рациональным показателем

Например , ==·=·=Степень с рациональным показателем

Слайд 6Если а>0, b>0, p и q –рациональные числа, то
СВОЙСТВА СТЕПЕНИ

Если а>0, b>0, p и q –рациональные числа, то СВОЙСТВА СТЕПЕНИ

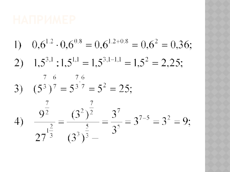
Слайд 7НАПРИМЕР

НАПРИМЕР

Слайд 8Проверьте себя

Проверьте себя

Слайд 9Спасибо за внимание

Спасибо за внимание

Что такое shareslide.ru?

Это сайт презентаций, где можно хранить и обмениваться своими презентациями, докладами, проектами, шаблонами в формате PowerPoint с другими пользователями. Мы помогаем школьникам, студентам, учителям, преподавателям хранить и обмениваться учебными материалами.


Для правообладателей

Яндекс.Метрика

Обратная связь

Email: Нажмите что бы посмотреть