Презентация, доклад по математике на тему Системы рациональных уравнений

1.2.

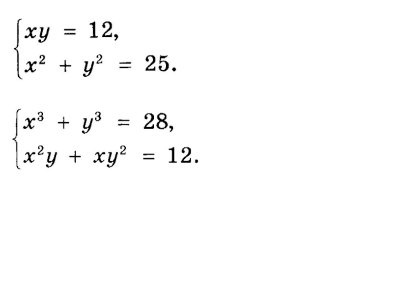
Слайд 1


Слайд 7Метод введение новых неизвестных
___________________________
___________________________

Метод введение новых неизвестных______________________________________________________

Слайд 8Метод введение новых неизвестных.
ПРИМЕР
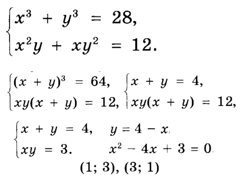
Решим
систему
уравнений
Обозначив u = ху,

v = х - у перепишем систему в виде

Метод введение новых неизвестных. ПРИМЕР Решим  систему уравненийОбозначив u = ху, v = х - у

Слайд 9

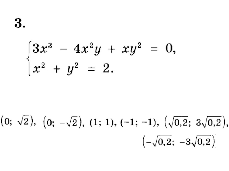
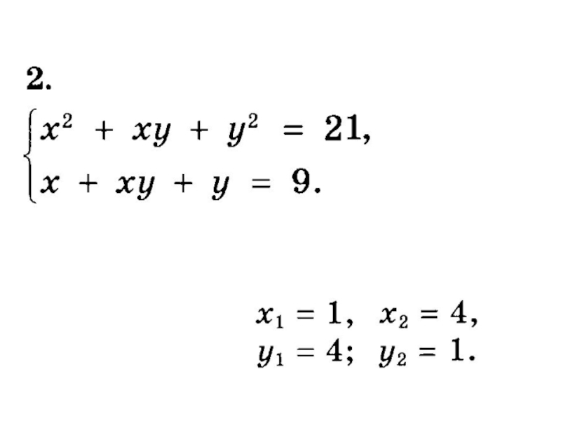
Найдем ее решения…
u1= 1, v1 = 0 и u2 = 5, v2 = 4
Следовательно, все решения системы есть объединение всех решений двух систем:




…Решив методом подстановки каждую из этих систем, найдем решения данной системы:
(1; 1), (-1; -1), (5; 1), (-1; -5).
Ответ. (1; 1), (-1; -1), (5; 1), (-1; -5).


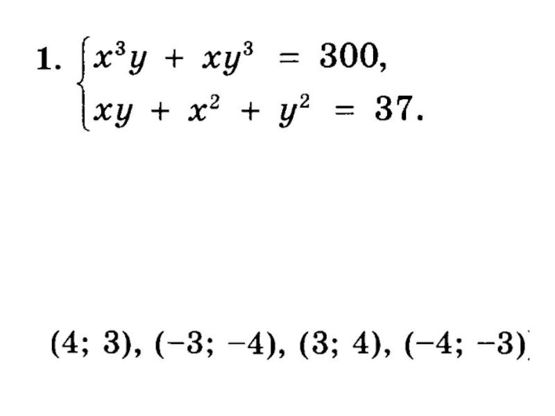
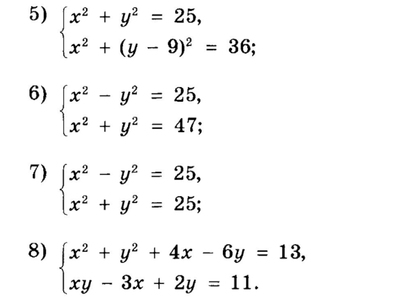
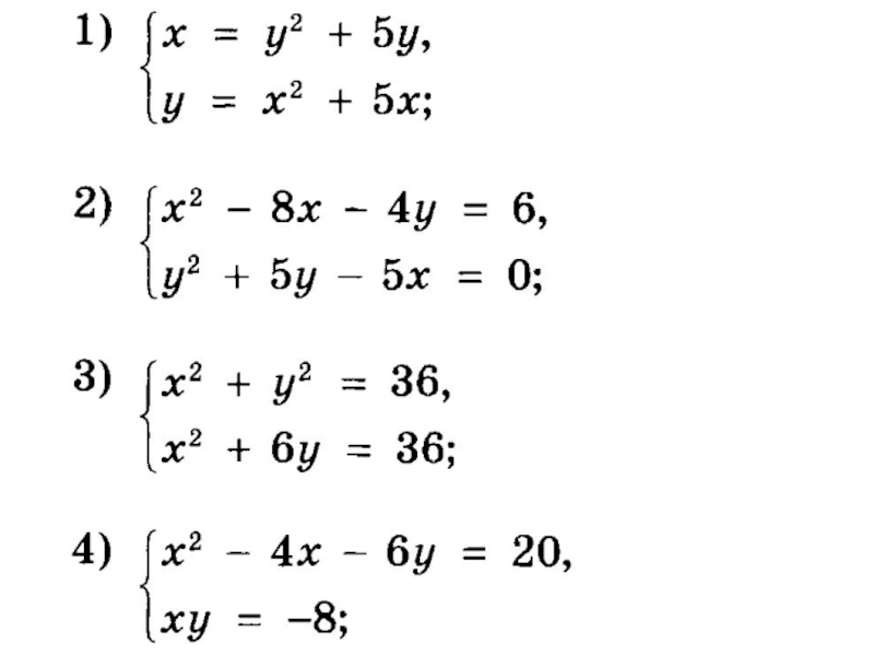
Слайд 16ЗАДАЧА 11

ЗАДАЧА 11

Что такое shareslide.ru?

Это сайт презентаций, где можно хранить и обмениваться своими презентациями, докладами, проектами, шаблонами в формате PowerPoint с другими пользователями. Мы помогаем школьникам, студентам, учителям, преподавателям хранить и обмениваться учебными материалами.


Для правообладателей

Яндекс.Метрика

Обратная связь

Email: Нажмите что бы посмотреть