Презентация, доклад по математике на тему Решение систем линейных уравнений с двумя переменными методом определителей

- определитель второго порядка

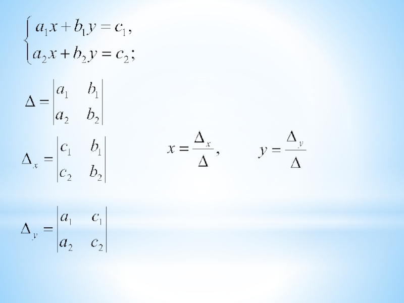
Слайд 1Метод определителей

Метод определителей

Слайд 2- определитель второго порядка

- определитель второго порядка

Слайд 3- главный определитель
- первый вспомогательный определитель
- второй вспомогательный определитель

- главный определитель- первый вспомогательный определитель- второй вспомогательный определитель

Слайд 5-80
= 7·6 - 2·17 = 42 - 34 = 8
= 1·6

- 2·(-9) = 6 + 18 = 24

= 7·(-9) - 1·17 = - 63 -17= -80

x

х=


=

24

8

=

3;

у=

y


=

8

= -10.

Ответ: (3; -10).

Решение системы методом определителей

-80= 7·6 - 2·17 = 42 - 34 = 8= 1·6 - 2·(-9) = 6 + 18

Что такое shareslide.ru?

Это сайт презентаций, где можно хранить и обмениваться своими презентациями, докладами, проектами, шаблонами в формате PowerPoint с другими пользователями. Мы помогаем школьникам, студентам, учителям, преподавателям хранить и обмениваться учебными материалами.


Для правообладателей

Яндекс.Метрика

Обратная связь

Email: Нажмите что бы посмотреть