Презентация, доклад по математике на тему Преобразование выражений,содержащих радикалы

Содержание

Цель урока:Формировать умения решать задания на преобразования выражений, содержащих радикалы;Закрепить понятия, свойства корня n-й степени.

Слайд 1Тема урока:
Преобразования выражений, содержащих радикалы.
Михеева С.В. Преподаватель математики

ЛПТТ им. А.К. Лысенко.
Тема урока:Преобразования выражений, содержащих радикалы.Михеева С.В. Преподаватель математики

Слайд 2Цель урока:
Формировать умения решать задания на преобразования выражений, содержащих радикалы;
Закрепить понятия,

свойства корня n-й степени.
Цель урока:Формировать умения решать задания на преобразования выражений, содержащих радикалы;Закрепить понятия, свойства корня n-й степени.

Слайд 3Эпиграф:
«Пусть кто - нибудь попробует вычеркнуть из математики степени, и он

увидит, что без них далеко не уйдёшь» (М. В. Ломоносов).
Эпиграф:«Пусть кто - нибудь попробует вычеркнуть из математики степени, и он увидит, что без них далеко не

Слайд 4Что такое радикал?

Что такое радикал?

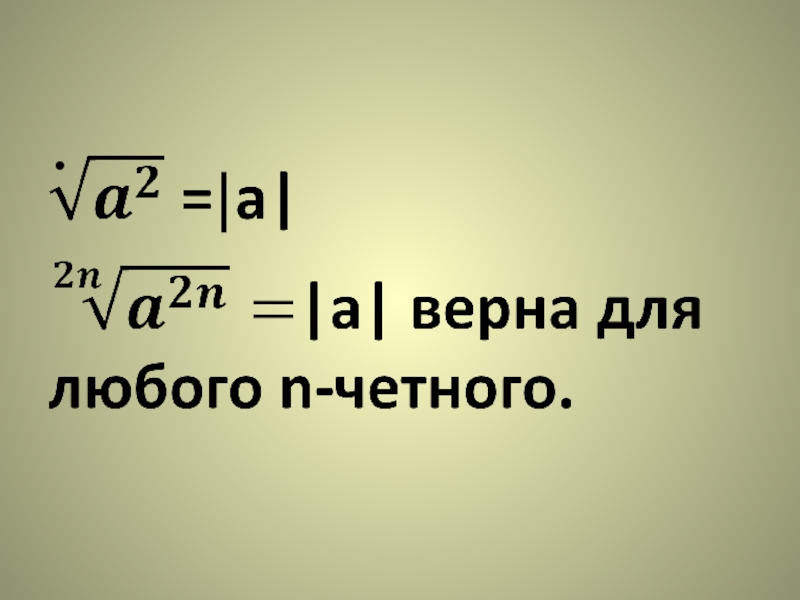
Слайд 5Свойства корня n- й степени

Свойства корня n- й степени

Слайд 6Корень из дроби

Корень из дроби

Слайд 7Извлечения корня из корня

Извлечения корня из корня

Слайд 8Основное свойство корня

Основное свойство корня

Слайд 9Устно!

Устно!

Слайд 10Упростить выражения
A)
Данное преобразование выражения называют вынесением множителя за знак радикала.
B)

Упростить выраженияA)Данное преобразование выражения называют вынесением множителя за знак радикала.B)

Слайд 13Сравнить числа, используя операцию внесения множителя под знак корня.

Сравнить числа, используя операцию внесения множителя под знак корня.

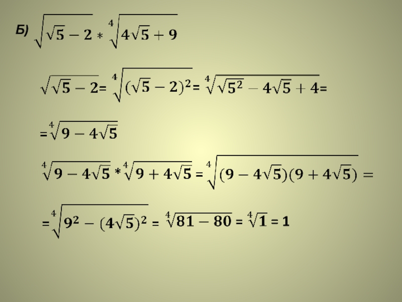
Слайд 14Упростить выражение

Упростить выражение

Слайд 15Выполнить действия:

Выполнить действия:

Слайд 16Выполнить действия:
a)

Выполнить действия:a)

Слайд 18Второй способ.
Работаем со вторым множителем

Второй способ.Работаем со вторым множителем

Слайд 19Разложить на множители выражение:

Разложить на множители выражение:

Слайд 20Сократить дробь:
I способ

Сократить дробь:I способ

Слайд 21II способ

II способ

Слайд 2236.1 (А)
36.4 (А)
36.7 (А)
36.8 (А)
36.12 (В)
36.13 (А)
36.14 (В)
36.15 (А)
36.16 (А)
35.21 (А)
35.22

(А)

Программист

36.1 (А)36.4 (А)36.7 (А)36.8 (А)36.12 (В)36.13 (А)36.14 (В)36.15 (А)36.16 (А)35.21 (А)35.22 (А)Программист

Слайд 23« Кто владеет информацией, тот владеет миром».
Натан Ротшильд

« Кто владеет информацией, тот владеет миром».Натан Ротшильд

Слайд 24Спасибо
за внимание.

Спасибоза внимание.

Что такое shareslide.ru?

Это сайт презентаций, где можно хранить и обмениваться своими презентациями, докладами, проектами, шаблонами в формате PowerPoint с другими пользователями. Мы помогаем школьникам, студентам, учителям, преподавателям хранить и обмениваться учебными материалами.


Для правообладателей

Яндекс.Метрика

Обратная связь

Email: Нажмите что бы посмотреть