Презентация, доклад по математике на тему Первообразная и интеграл

Ответ:

Слайд 1Первообразная и интеграл

Первообразная и интеграл

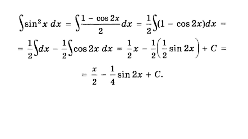
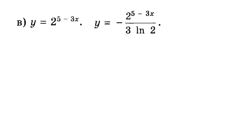
Слайд 2Ответ:

Ответ:

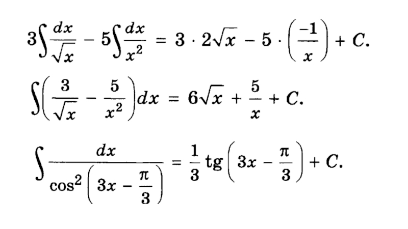
Слайд 9П.20, №20.1-20.5

П.20, №20.1-20.5

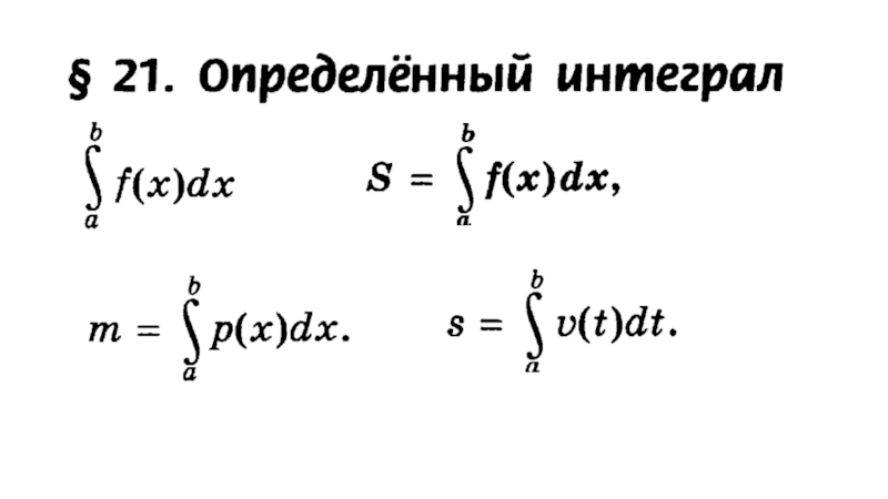
Слайд 22П.21, №21.1-21.2, 21.43

П.21, №21.1-21.2, 21.43

Что такое shareslide.ru?

Это сайт презентаций, где можно хранить и обмениваться своими презентациями, докладами, проектами, шаблонами в формате PowerPoint с другими пользователями. Мы помогаем школьникам, студентам, учителям, преподавателям хранить и обмениваться учебными материалами.


Для правообладателей

Яндекс.Метрика

Обратная связь

Email: Нажмите что бы посмотреть