Презентация, доклад по алгебре на тему Тригонометрические уравнения

Содержание

Простейшие тригонометрические уравненияТригонометрические уравнения1. Простейшие2. Приводимые к квадратному3. Однородные4. Неоднородные1-й степени2-й степени и приводимые к ним

Слайд 1Решение тригонометрических уравнений

Решение тригонометрических уравнений

Слайд 2
Простейшие тригонометрические уравнения

Тригонометрические уравнения
1. Простейшие
2. Приводимые к квадратному
3. Однородные
4. Неоднородные
1-й степени
2-й

степени
и приводимые к ним
Простейшие тригонометрические уравненияТригонометрические уравнения1. Простейшие2. Приводимые к квадратному3. Однородные4. Неоднородные1-й степени2-й степени и приводимые к ним

Слайд 3Формулы решения уравнений

arctg(-a) = - arctg

a
Формулы решения уравнений     arctg(-a) = - arctg a

Слайд 4Решение простейших тригонометрических уравнений

Решение простейших тригонометрических уравнений

Слайд 7Найди ошибку:
1
2
3
4

Найди ошибку:1234

Слайд 8Задание 1.

Задание 1.

Слайд 9Установите соответствие:
sin x = 0
sin x = - 1
sin

x = 1

cos x = 0

cos x = 1

tg x = 1

cos x = -1

1

2

3

4

5

6

7

Установите соответствие:sin x = 0 sin x = - 1 sin x = 1 cos x =

Слайд 10Тренажер:

Тренажер:

Слайд 11Проверь себя:

Проверь себя:

Слайд 121. Алгебраический метод (метод замены переменной и подстановки , преобразование произведения

в сумму, переход к половинному углу. ..)

Методы решения тригонометрических уравнений

2. Разложение на множители. 

4. Приведение к однородному уравнению.
 

Уравнение называется однородным относительно   sin  и  cos, если все его члены одной и той же степени относительно sin  и cos  одного и того же угла.

3. Введение вспомогательного угла.  

1. Алгебраический метод (метод замены переменной и подстановки , преобразование произведения в сумму, переход к половинному углу.

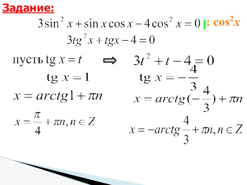
Слайд 13Задание: (Переход к половинному углу.)
4

Задание: (Переход к половинному углу.)4

Слайд 14Задание:

Задание:

Слайд 15Задание: Дано уравнение
а) Решите уравнение.
б) Укажите корни, принадлежащие отрезку


Задание: Дано уравнение  а) Решите уравнение.б) Укажите корни, принадлежащие отрезку

Слайд 16Однородные тригонометрические уравнения – уравнения относительно синуса и

косинуса, все члены которого имеют одинаковую степень и одинаковые углы
Однородные    тригонометрические уравнения  – уравнения относительно синуса и косинуса, все члены которого имеют

Слайд 17: cos x
Задание:

: cos xЗадание:

Слайд 18: cos2x
Задание:

: cos2xЗадание:

Слайд 19Задание:

Задание:

Слайд 20Задание:

Задание:

Слайд 221) Решить уравнение: 

cos 2 x + sin x · cos x = 1.

2) Решить уравнение: 
cos 2x – cos 8x + cos 6x = 1. 

3) Решить уравнение: 
cos 2x – cos 8x + cos 6x = 1. 

1) Решить уравнение: 

Слайд 23Определите вид уравнения и укажите
способ его решения:

а) sin x = 2 cos x;
б) sin x + cos x = 0;
в) 4 cos 3x + 5 sin 3x = 0;
г) 1 +7 cos²x + 3 sin²x = 0;
д) sin 3x – cos 3x = 0;
е) sin x cos x + cos²x = 0
Определите вид уравнения и укажите способ его решения:

Слайд 24Введение вспомогательного угла.
Рассмотрим уравнение вида:   a sin x +

b cos x = c ,  
    где  a, b, c – коэффициенты;  x – неизвестное.

Тогда можно обозначить их соответственно как cos и sin ( здесь - так называемый вспомогательный угол ), и наше уравнение принимает вид:

Введение вспомогательного угла. Рассмотрим уравнение вида:   a sin x + b cos x = c ,

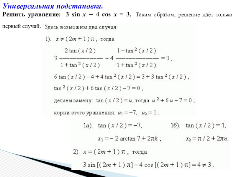
Слайд 25Универсальная подстановка.                                                                                                                                           
Решить уравнение:  3 sin x – 4 cos

x = 3.  Таким образом, решение даёт только первый случай.        
                            
Универсальная подстановка.                                                                                                                                           Решить уравнение:  3 sin x – 4 cos x = 3.  Таким образом, решение

Что такое shareslide.ru?

Это сайт презентаций, где можно хранить и обмениваться своими презентациями, докладами, проектами, шаблонами в формате PowerPoint с другими пользователями. Мы помогаем школьникам, студентам, учителям, преподавателям хранить и обмениваться учебными материалами.


Для правообладателей

Яндекс.Метрика

Обратная связь

Email: Нажмите что бы посмотреть