Презентация, доклад по математике на тему Модуль и квадратичная функция

Построение графиков функций:Y = |АХ2 + В X  + C|Y =  АХ2 + В|X| + C  Y =  |АХ2 + В |Х| + С|

Слайд 1Модуль и квадратичная функция


9 класс

Модуль и квадратичная функция9 класс

Слайд 2Построение графиков функций:
Y = |АХ2 + В X  + C|

Y =  АХ2 +

В|X| + C  

Y =  |АХ2 + В |Х| + С|

Построение графиков функций:Y = |АХ2 + В X  + C|Y =  АХ2 + В|X| + C  Y =  |АХ2 +

Слайд 3Найти на рисунке график функции Y = –Х2 + 4Х – 3

Найти на рисунке график функции Y = –Х2 + 4Х – 3

Слайд 4 На каком рисунке изображен график функции Y = –(Х + 1)(2

– Х)?
 На каком рисунке изображен график функции Y = –(Х + 1)(2 – Х)?

Слайд 5Вспомнить, как построить график функции Y = |Х|

Вспомнить, как построить график функции Y = |Х|

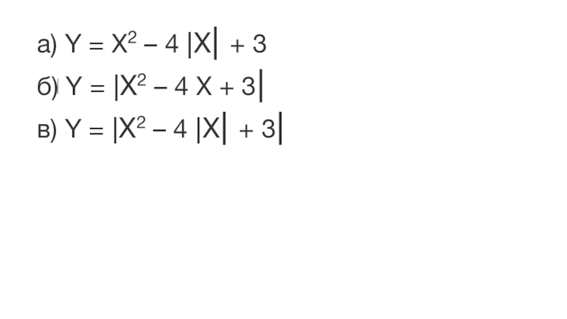
Слайд 6а) Y = Х2 – 4 |Х| + 3 б) Y = |Х2 – 4 Х

+ 3| в) Y = |Х2 – 4 |Х| + 3|
а) Y = Х2 – 4 |Х| + 3 б) Y = |Х2 – 4 Х + 3|  в) Y

Слайд 8а) Y = Х2 + 2|Х| – 3 б) Y = |Х2 + 2 Х –

3| в) Y =  |Х2 + 2|Х|– 3|
а) Y = Х2 + 2|Х| – 3 б) Y = |Х2 + 2 Х – 3|  в) Y = 

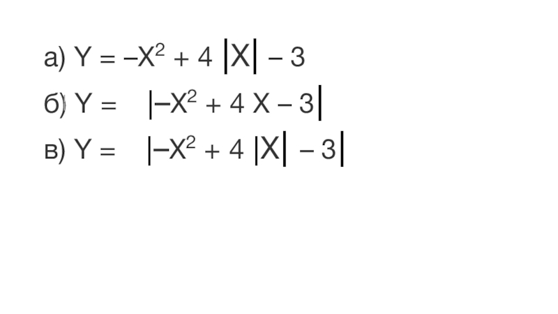
Слайд 10а) Y = –Х2 + 4 |Х| – 3 б) Y =  |–Х2 + 4 Х

– 3| в) Y =  |–Х2 + 4 |Х| – 3|
а) Y = –Х2 + 4 |Х| – 3 б) Y =  |–Х2 + 4 Х – 3|  в) Y

Что такое shareslide.ru?

Это сайт презентаций, где можно хранить и обмениваться своими презентациями, докладами, проектами, шаблонами в формате PowerPoint с другими пользователями. Мы помогаем школьникам, студентам, учителям, преподавателям хранить и обмениваться учебными материалами.


Для правообладателей

Яндекс.Метрика

Обратная связь

Email: Нажмите что бы посмотреть