Презентация, доклад по математике на тему: Метод потенцирования

Цели:Собрать «копилку» уравнений по данному методу.Освоить метод потенцирования и углубить знания в данной области.Прорекламировать метод потенцирования.

Слайд 1Решение логарифмических уравнений МЕТОДОМ ПОТЕНЦИРОВАНИЯ

Решение логарифмических уравнений МЕТОДОМ ПОТЕНЦИРОВАНИЯ

Слайд 2Цели:
Собрать «копилку» уравнений по данному методу.
Освоить метод потенцирования и углубить знания

в данной области.
Прорекламировать метод потенцирования.
Цели:Собрать «копилку» уравнений по данному методу.Освоить метод потенцирования и углубить знания в данной области.Прорекламировать метод потенцирования.

Слайд 3Теорема:
Если f (x)>0 и g (x)>0 ,то логарифмическое уравнение


(где )равносильно уравнению f(x)=g(x).
Переход от уравнения


к уравнению f(x)=g(x) называют
потенцированием.
Теорема:Если f (x)>0 и g (x)>0 ,то логарифмическое уравнение    (где

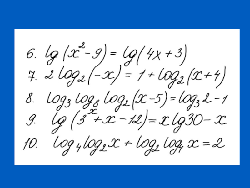
Слайд 4«Копилка» уравнений:


«Копилка» уравнений:

Слайд 6Объект исследования:

Объект исследования:

Слайд 7Ход решения:

Ход решения:

Слайд 9Заключение:
Методом проб и ошибок мы решали уравнения

Находили пути решения, слушали каждое мнение, Потратили много времени, но вместе было интересней. Разряжали атмосферу шутками и песней, Нашли место, в котором совершили ошибку Исправили решительно и на лице видно улыбку
Теперь ночью после алгебры нам снятся логарифмы
Мы решаем их так же хорошо как придумываем рифмы
Получившиеся выводы мы теперь цитируем
Мы тестировали ,рекламировали метод потенцирования.
Заключение:     Методом проб и ошибок мы решали уравнения  Находили пути решения, слушали

Слайд 10Благодарим за внимание!

Благодарим  за внимание!

Что такое shareslide.ru?

Это сайт презентаций, где можно хранить и обмениваться своими презентациями, докладами, проектами, шаблонами в формате PowerPoint с другими пользователями. Мы помогаем школьникам, студентам, учителям, преподавателям хранить и обмениваться учебными материалами.


Для правообладателей

Яндекс.Метрика

Обратная связь

Email: Нажмите что бы посмотреть