Презентация, доклад по математике на тему Арифметическая прогрессия

Содержание

Выявите закономерность и задайте последовательность рекуррентной формулой1) 1, 2, 3, 4, 5, …2) 2, 5, 8, 11, 14,…3) 8, 6, 4, 2, 0, - 2, …4) 0,5; 1; 1,5; 2; 2,5; …

Слайд 106.02.19
Классная работа

06.02.19Классная работа

Слайд 2Выявите закономерность и задайте последовательность рекуррентной формулой
1) 1, 2, 3, 4,

5, …
2) 2, 5, 8, 11, 14,…
3) 8, 6, 4, 2, 0, - 2, …
4) 0,5; 1; 1,5; 2; 2,5; …

Выявите закономерность и задайте последовательность рекуррентной формулой1) 1, 2, 3, 4, 5, …2) 2, 5, 8, 11,

Слайд 3Арифметическая прогрессия

Арифметическая прогрессия

Слайд 4Арифметическая прогрессия – это числовая последовательность, каждый член которой, начиная со

второго равен предыдущему сложенному с одним и тем же числом.

Определение арифметической прогрессии

Арифметическая прогрессия – это числовая последовательность, каждый член которой, начиная со второго равен предыдущему сложенному с одним

Слайд 5

- арифметическая прогрессия, если для всех натуральных n выполняется равенство

Определение арифметической прогрессии


Слайд 6Разность арифметической прогрессии
- прогрессия возрастающая
- прогрессия убывающая

Разность арифметической прогрессии- прогрессия возрастающая- прогрессия убывающая

Слайд 7Назвать первый член и разность арифметической прогрессии:
6, 8, 10, 12,



7, 10, 13, 16, …

25, 21, 17, 13, …

-12, -9, -6, -3, …
Назвать первый член и разность арифметической прогрессии: 6, 8, 10, 12, … 7, 10, 13, 16, …

Слайд 8Запишите первые пять членов арифметической прогрессии, если
Ответ: 7; 12; 17; 22;

27

Ответ: 11; 9; 7; 5; 3

Запишите первые пять членов арифметической прогрессии, еслиОтвет: 7; 12; 17; 22; 27Ответ: 11; 9; 7; 5; 3

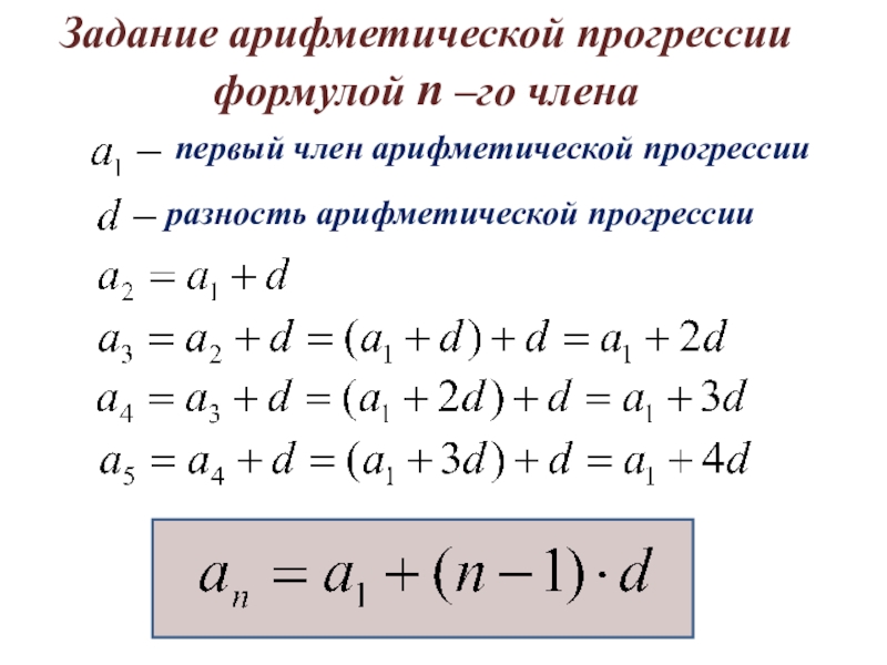
Слайд 9Задание арифметической прогрессии формулой n –го члена

Задание арифметической прогрессии формулой n –го члена

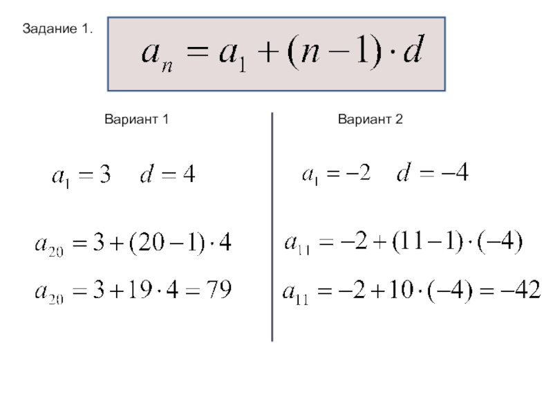
Слайд 10Вариант 1
Вариант 2
Задание 1.

Вариант 1Вариант 2Задание 1.

Слайд 11Решение:
Ответ :
Записать формулу n –го члена арифметической прогрессии: 25;

21; 17; 13 …

Задание 2.

Решение:Ответ :Записать формулу n –го члена арифметической прогрессии:   25; 21; 17; 13 …Задание 2.

Слайд 12Записать формулу n –го члена арифметической прогрессии: 1; -4;

-9; -14 …

Решение:

Ответ :

Задание 3.

Записать формулу n –го члена арифметической прогрессии:   1; -4; -9; -14 …Решение:Ответ :Задание 3.

Слайд 13Свойство n –го члена арифметической прогрессии
Каждый член арифметической прогрессии, начиная со

второго, равен среднему арифметическому двух соседних с ним членов
Свойство n –го члена арифметической прогрессииКаждый член арифметической прогрессии, начиная со второго, равен среднему арифметическому двух соседних

Слайд 14Выписаны несколько последовательных членов арифметической прогрессии:
-34; -18; х; 14; …


Найдите член прогрессии обозначенный буквой х.

Решение:

Выписаны несколько последовательных членов арифметической прогрессии: -34; -18; х; 14; … Найдите член прогрессии обозначенный буквой х.Решение:

Слайд 15№ 16.7 (в; г).
№ 16.14 (в; г)
№ 16.16 (в; г)


Работа по учебнику

№ 16.7 (в; г).№ 16.14 (в; г) № 16.16 (в; г) Работа по учебнику

Слайд 16Домашнее задание:
1. Изучить материал на с. 145–149 учебника.
2. Решить:

16.7 (а; б);
№ 16.14 (а; б);
№ 16.16 (а; б).
Домашнее задание:1. Изучить материал на с. 145–149 учебника. 2. Решить: № 16.7 (а; б); № 16.14 (а;

Слайд 17Последовательности заданы несколькими первыми членами. Одна уз них – арифметическая прогрессия.

Укажите ее.

А) 1; 4; 9; 16; …

Б) -3; -6; -9; -12; …

В) 1; 3; 9; 27; …

Последовательности заданы несколькими первыми членами. Одна уз них – арифметическая прогрессия. Укажите ее.А) 1; 4; 9; 16;

Слайд 18Какая из последовательностей является арифметической прогрессией?
А) последовательность натуральных степеней числа 2

Б)

последовательность чисел, обратных натуральным

В) последовательность квадратов натуральных чисел

С) последовательность натуральных чисел, кратных 7
Какая из последовательностей является арифметической прогрессией?А) последовательность натуральных степеней числа 2Б) последовательность чисел, обратных натуральным В) последовательность

Слайд 19Для каждой арифметической прогрессии, заданной формулой n – го члена укажите

ее разность d
Для каждой арифметической прогрессии, заданной формулой n – го члена укажите ее разность d

Что такое shareslide.ru?

Это сайт презентаций, где можно хранить и обмениваться своими презентациями, докладами, проектами, шаблонами в формате PowerPoint с другими пользователями. Мы помогаем школьникам, студентам, учителям, преподавателям хранить и обмениваться учебными материалами.


Для правообладателей

Яндекс.Метрика

Обратная связь

Email: Нажмите что бы посмотреть