Презентация, доклад по математике А-9_У-26_Основные типы систем уравнений

Основные типы систем уравненийДомашнее задание:№ 12; 14; 16; 26;28. Проверка домашнего задания.№ 2.№ 4.№ 6.№ 21.№ 23.№ 12, 14, 16, 26, 28

Слайд 1 Желающие получить презентацию пишите по адресу на Е-майл: gas-50@mail.ru.

Автор - Гаврилов Александр Сергеевич. Преподавание ведется по учебнику А.Г.Мордковича. Использовался материал: Алгебра. 9 класс. Поурочные планы по учебнику Мордковича А.Г. и др.
Стоимость презентации 10 рублей. Деньги переводить на карту VISA Classic, сбербанк 8611/7770, номер карты: 40817810710000878844/50 RUR или на Яндекс-деньги № кошелька 410013674405763.
Наличие материала в презентациях предостаточно. Часть из него выносим на факультативные занятия, часть на дополнительные занятия.
Список имеющихся презентаций выложен на сайте http://infourok.ru/user/gavrilov-aleksandr-sergeevich в файле Список презентаций.doc. Правда я постоянно его пополняю. Желаю успехов в работе.
С уважением Гаврилов А.С.
Желающие получить презентацию пишите по адресу на Е-майл: gas-50@mail.ru. Автор - Гаврилов Александр Сергеевич. Преподавание

Слайд 2Основные типы систем уравнений
Домашнее задание:
№ 12; 14; 16; 26;28.
Проверка домашнего

задания.

№ 2.

№ 4.

№ 6.

№ 21.

№ 23.

№ 12, 14, 16, 26, 28

Основные типы  систем уравненийДомашнее задание:№ 12; 14; 16; 26;28. Проверка домашнего задания.№ 2.№ 4.№ 6.№ 21.№

Слайд 4Самостоятельная работа.

Самостоятельная работа.

Слайд 5Изучение нового материала.

Изучение нового материала.

Слайд 11Практическая часть урока.
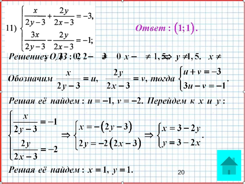
№ 11.
№ 17.
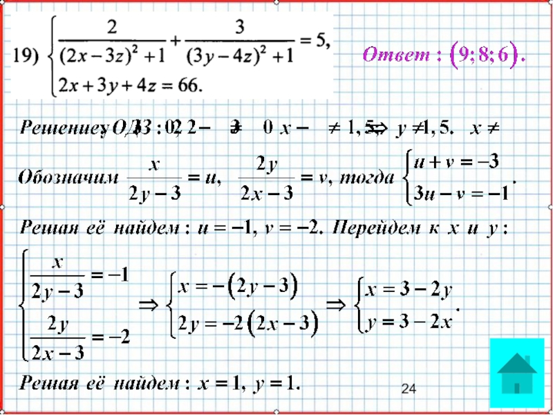
№ 19.
№ 15.
№ 13.

Практическая часть урока. № 11.№ 17.№ 19.№ 15.№ 13.

Слайд 12№ 27.
№ 29.
№ 30.
№ 25.

№ 27.№ 29.№ 30.№ 25.

Слайд 13Спасибо за урок!

Спасибо за урок!

Слайд 15Рещение: ОДЗ: 4у+5≠0, 5у+4≠0, х≠0, 5–у≠0; т.е. у≠–5/4, у≠–4/5, х≠0, у≠5.
Используя

свойство пропорции решим первое уравнение: (4х+5)(5у+4)=(4у+5)(5х+4) → 20ху+16х+25у+20=20ху+25х+16у+20 → 9у=9х → у=х. Используя свойство пропорции решим второе уравнение, учитывая, что у=х: 4(5–у)=у → 20 – 4у = у → 5у=20 → у=4. Учитывая ОДЗ, у=4 – корень системы; а так как у=х, значит х=4.


Рещение: ОДЗ: 4у+5≠0, 5у+4≠0, х≠0, 5–у≠0; т.е. у≠–5/4, у≠–4/5, х≠0, у≠5.Используя свойство пропорции решим первое уравнение: (4х+5)(5у+4)=(4у+5)(5х+4)

Слайд 29
Дома:
Ответ: (2;1;11).
Ответ: (9;0).
Ответ: (2;3), (3,2).
Ответ: (9;32), (41;0).

Дома:Ответ: (2;1;11). Ответ: (9;0). Ответ: (2;3), (3,2). Ответ: (9;32), (41;0).

Что такое shareslide.ru?

Это сайт презентаций, где можно хранить и обмениваться своими презентациями, докладами, проектами, шаблонами в формате PowerPoint с другими пользователями. Мы помогаем школьникам, студентам, учителям, преподавателям хранить и обмениваться учебными материалами.


Для правообладателей

Яндекс.Метрика

Обратная связь

Email: Нажмите что бы посмотреть