Презентация, доклад по геометрии 11 класс на тему Координаты вектора

Повторим: Прямоугольная система координат задана, если выбрана точка – начало координат, через эту точку проведены три попарно перпендикулярные прямые, на каждой из которых выбрано направление и задана единица измерения отрезков.

Слайд 1Е-майл: gas-50@mail.ru Гаврилов А.С.
Координаты вектора.
Домашнее задание:

повт. средняя линия треугольника и

теорема о средней линии треугольника .

Проверка домашнего задания.

№ 400, 401.

Е-майл: gas-50@mail.ru Гаврилов А.С.Координаты  вектора. Домашнее задание:повт. средняя линия треугольника и теорема о средней линии треугольника

Слайд 3Повторим:
Прямоугольная система координат задана, если выбрана точка –

начало координат, через эту точку проведены три попарно перпендикулярные прямые, на каждой из которых выбрано направление и задана единица измерения отрезков.
Повторим:   Прямоугольная система координат задана, если выбрана точка – начало координат, через эту точку проведены

Слайд 4Проверка домашнего задания.

Проверка домашнего задания.

Слайд 6А(4;5;5)
В(-1;7;-3)
С(2;0;0)
D(0;4;5)

А(4;5;5)В(-1;7;-3)С(2;0;0)D(0;4;5)

Слайд 7Устная работа

Устная работа

Слайд 8Изучение нового материала.

Изучение нового материала.

Слайд 10Правила действий над векторами с заданными координатами.

Правила действий над векторами с заданными координатами.

Слайд 13Устно:
Закрепление изученного материала.

Устно: Закрепление изученного материала.

Слайд 14Практическая часть урока.
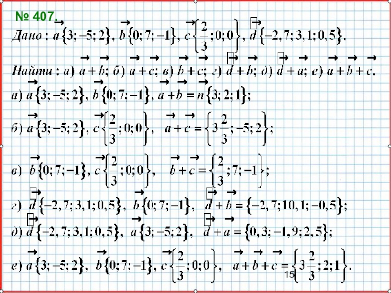
№ 407.

Практическая часть урока. № 407.

Слайд 15№ 407.

№ 407.

Слайд 17Спасибо за урок!

Спасибо за урок!

Слайд 18Методическое пособие:

Методическое пособие:

Слайд 19
№ 400.
№ 401.

№ 400.№ 401.

Слайд 20Меня зовут Александр Сергеевич. Проработал в школе 40 лет. В настоящее

время на пенсии, имею инвалидность, перенес обширный инфаркт. Появилось свободное время и работаю над презентациями для уроков. Если Вас устраивает моя презентация, вы её скачали и пользуетесь ей, то прошу перечислить на мой номер телефона +79209263595 сумму в размере 10 рублей. Извините, что прошу оплату, но другого способа заработать хоть какие-то средства, я не вижу.
С уважением Гаврилов А.С.
Меня зовут Александр Сергеевич. Проработал в школе 40 лет. В настоящее время на пенсии, имею инвалидность, перенес

Что такое shareslide.ru?

Это сайт презентаций, где можно хранить и обмениваться своими презентациями, докладами, проектами, шаблонами в формате PowerPoint с другими пользователями. Мы помогаем школьникам, студентам, учителям, преподавателям хранить и обмениваться учебными материалами.


Для правообладателей

Яндекс.Метрика

Обратная связь

Email: Нажмите что бы посмотреть