Презентация, доклад по алгебреНахождение наименьшего значения выражения

НАЙТИ НАИМЕНЬШЕЕ ЗНАЧЕНИЕ ВЫРАЖЕНИЯ В ОБЛАСТИ: y≥|x+1|+|x-3|-x-1y+x2-8x

Слайд 1Нахождение наименьшего значения выражения
Презентация выполнена Гончаровой И.В.
МОУ СОШ №8
Г. Краснокамск

Нахождение наименьшего значения выраженияПрезентация выполнена Гончаровой И.В.МОУ СОШ №8Г. Краснокамск

Слайд 2

НАЙТИ НАИМЕНЬШЕЕ ЗНАЧЕНИЕ
ВЫРАЖЕНИЯ
В ОБЛАСТИ:
y≥|x+1|+|x-3|-x-1
y+x2-8x

НАЙТИ НАИМЕНЬШЕЕ ЗНАЧЕНИЕ ВЫРАЖЕНИЯ В ОБЛАСТИ: y≥|x+1|+|x-3|-x-1y+x2-8x

Слайд 3


ПОСТРОИМ ОБЛАСТЬ,

ЗАДАННУЮ УСЛОВИЕМ

y≥|x+1|+|x-3|-x-1

ПОСТРОИМ ОБЛАСТЬ,         ЗАДАННУЮ УСЛОВИЕМy≥|x+1|+|x-3|-x-1

Слайд 4


ПОСТРОИМ ГРАНИЦУ ОБЛАСТИ

y=|x+1|+|x-3|-x-1

ПОСТРОИМ ГРАНИЦУ ОБЛАСТИy=|x+1|+|x-3|-x-1

Слайд 5 x+1=0

x= -1
x-3=0 x= 3

- - + - + +


x€(- ; -1) x€(- ; -1)
y= -x-1-x+3-x-1 y= -3x+1
x€[-1;3] x€[-1;3]
y=x+1-x+3-x-1 y=-x+3
x€(3;+ ) x€(3;+ )
y=x+1+x-3-x-1 y=x-3




8

8







8

8



x+1=0       x= -1

Слайд 6X
Y
0
3
4
3

-3x+1, при x< -1
-x+3, при -1≤x≤3
x-3, при x>3


y

=

XY0343          -3x+1, при x< -1

Слайд 7







y= -3x+1 ГРАФИКОМ ЯВЛЯЕТСЯ ПРЯМАЯ
y= -x+3

ГРАФИКОМ ЯВЛЯЕТСЯ ПРЯМАЯ

y= x-3 ГРАФИКОМ ЯВЛЯЕТСЯ ПРЯМАЯ

y= -3x+1 ГРАФИКОМ ЯВЛЯЕТСЯ ПРЯМАЯy= -x+3   ГРАФИКОМ ЯВЛЯЕТСЯ ПРЯМАЯy= x-3

Слайд 8
X
Y
0
3
4
3
НАЙДЕМ ОБЛАСТЬ A (0;0)

XY0343НАЙДЕМ ОБЛАСТЬ A (0;0)

Слайд 9Найдем область A (0;0)
0≥
0≥3
A¢( y≥|x+1|+|x-3|-x-1 )

Найдем область A (0;0)0≥0≥3A¢( y≥|x+1|+|x-3|-x-1 )

Слайд 10Пусть наименьшее значение выражения равно a,
тогда y+x2-8x =a.


Рассмотрим квадратичную функцию y=

-x2+8x+a
Пусть наименьшее значение выражения равно a,тогда y+x2-8x =a.Рассмотрим квадратичную функцию y= -x2+8x+a

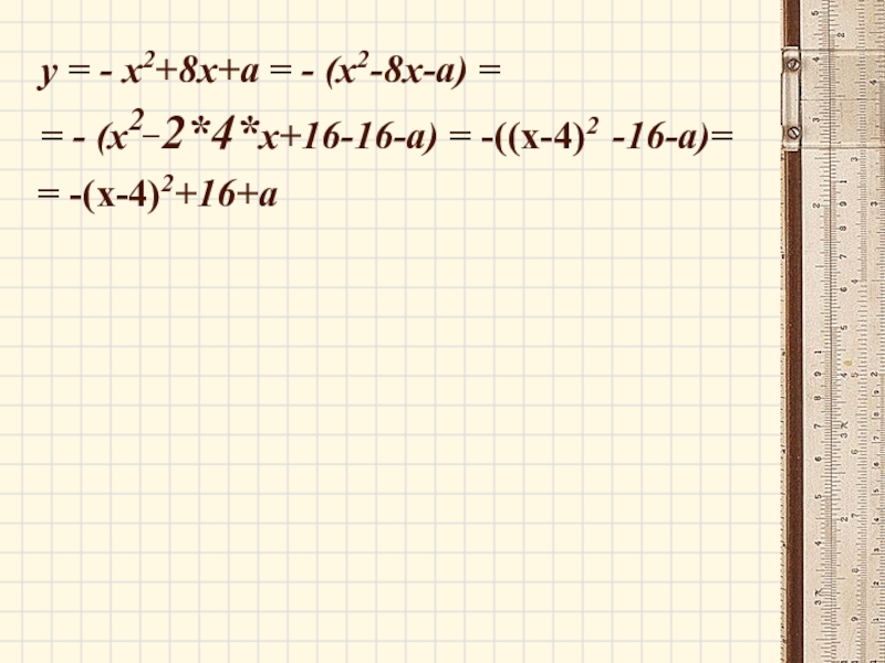
Слайд 11 y = - x2+8x+a = - (x2-8x-a) =
= -

(x2_2*4*x+16-16-a) = -((x-4)2 -16-a)=
= -(x-4)2+16+a
y = - x2+8x+a = - (x2-8x-a) = = - (x2_2*4*x+16-16-a) = -((x-4)2 -16-a)= = -(x-4)2+16+a

Слайд 12
X
График парабола,
Ветви направлены вниз,
Вершина (4;16+a)
y = -(x-4)2+16+a

XГрафик парабола, Ветви направлены вниз, Вершина (4;16+a)y = -(x-4)2+16+a

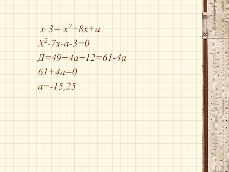
Слайд 14 x-3=-x2+8x+a
X2-7x-a-3=0
Д=49+4a+12=61-4a
61+4a=0
a=-15,25

x-3=-x2+8x+aX2-7x-a-3=0Д=49+4a+12=61-4a61+4a=0a=-15,25

Слайд 15СПАСИБО ЗА ВНИМАНИЕ

СПАСИБО ЗА ВНИМАНИЕ

Что такое shareslide.ru?

Это сайт презентаций, где можно хранить и обмениваться своими презентациями, докладами, проектами, шаблонами в формате PowerPoint с другими пользователями. Мы помогаем школьникам, студентам, учителям, преподавателям хранить и обмениваться учебными материалами.


Для правообладателей

Яндекс.Метрика

Обратная связь

Email: Нажмите что бы посмотреть