Презентация, доклад по алгебре в 9 классе Прогрессии

Исторические сведения о прогрессиях

Слайд 1
























Тема урока: "Прогрессии"


Слайд 2Исторические сведения о прогрессиях

Исторические сведения  о прогрессиях

Слайд 3«Имеется 7 домов, в каждом по 7 кошек, каждая кошка съедает

7 мышей, каждая мышка съедает 7 колосьев, каждый из которых, если посеять зерно, даёт 7 мер зерна. Как велики числа этого ряда и их сумма?»
«Имеется 7 домов, в каждом по 7 кошек, каждая кошка съедает 7 мышей, каждая мышка съедает 7

Слайд 4Архимед (287 - 212 до н.э)

Вывел формулу суммы квадратов натуральных чисел


И показал, как найти сумму бесконечно убывающей геометрической последовательности.

Архимед (287 - 212 до н.э)	Вывел формулу суммы квадратов натуральных чисел 	И показал, как найти сумму бесконечно

Слайд 5 ЕВКЛИД (ок. 325 – ок. 265 до н.э.)

В книге Евклида

«Начала» упоминается формула суммы членов геометрической прогрессии.
ЕВКЛИД (ок. 325 – ок. 265 до н.э.) 	В книге Евклида    «Начала» упоминается формула

Слайд 6 Диофант ( ок. 250 – 333н.э.)


Доказал формулу суммы

членов арифметической прогрессии.
Диофант ( ок. 250 – 333н.э.)	Доказал формулу суммы членов арифметической прогрессии.

Слайд 718 446 744 073 709 551 615

18 446 744 073 709 551 615

Слайд 8Гаусс Карл Фридрих (1777 - 1855)

Гаусс Карл Фридрих (1777 - 1855)

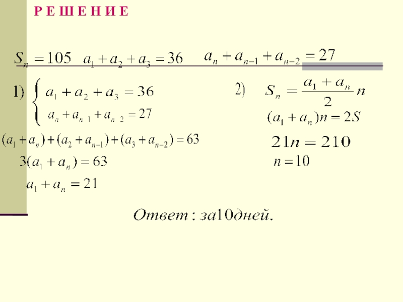
Слайд 9Том Сойер красил забор длиной 105 м, причём день за днём

количество выкрашенного забора за день уменьшалось на одну и ту же величину.
За сколько дней был выкрашен забор, если за первые три дня Том выкрасил 36 м забора, а за последние три дня – 27 м?

Задача.

Том Сойер красил забор длиной 105 м, причём день за днём количество выкрашенного забора за день уменьшалось

Слайд 10








Р Е Ш Е Н И Е

Р Е Ш Е

Слайд 12 Задание 1

На рисунке изображены точками 7 членов
арифметической прогрессии.
1) Найдите а 1 и d .
2) Чему равен 10 член прогрессии?
Задание 1

Слайд 13 Задание 2
1)Из

какого количества квадратов составлена фигура с номером 100?

А) 402 Б)204 В)202 Г)102
Задание 21)Из какого количества квадратов составлена фигура с

Слайд 14

Задание 3


Найти знаменатель геометрической прогрессии.



А) -3 Б) 2 В) 3 Г)-2

Задание 3   Найти знаменатель

Слайд 15

Ответы теста

Вариант 1 Вариант 2

1) В. 7,6 1) Б. -64

2) Г. 27 2) А. 6

3) В. 15 3) В. 24

Ответы теста  Вариант 1

Слайд 16Домашнее задание
1) &15, 16.Повторить определение и

формулы;
2)№440(а), 446(б),450(а),485(а),509;

3) из экз.сбор. №6.6(2),6.12(2),6.16(2).
Домашнее задание1) &15, 16.Повторить определение и      формулы;2)№440(а), 446(б),450(а),485(а),509;3) из экз.сбор. №6.6(2),6.12(2),6.16(2).

Слайд 17Девиз урока:
Помните, что решая
маленькие задачи,
вы готовитесь к решению больших и

трудных.
Девиз урока:	Помните, что решая 	маленькие задачи,	вы готовитесь к решению больших и трудных.

Что такое shareslide.ru?

Это сайт презентаций, где можно хранить и обмениваться своими презентациями, докладами, проектами, шаблонами в формате PowerPoint с другими пользователями. Мы помогаем школьникам, студентам, учителям, преподавателям хранить и обмениваться учебными материалами.


Для правообладателей

Яндекс.Метрика

Обратная связь

Email: Нажмите что бы посмотреть