Презентация, доклад по алгебре Степенная функция и ее производная (11 класс)

В классе:4.2.25, 4.2.27, 4.2.28, 4.2.30, 4.2.31, 4.2.33, 4.2.37- 4.2.42 (стр.67)

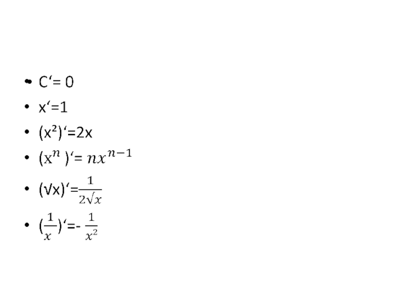
Слайд 1Степенная функция и её производная

Степенная функция и её производная

Слайд 5В классе:
4.2.25,
4.2.27,
4.2.28,
4.2.30,
4.2.31,
4.2.33,
4.2.37- 4.2.42 (стр.67)

В классе:4.2.25, 4.2.27, 4.2.28, 4.2.30, 4.2.31, 4.2.33, 4.2.37- 4.2.42 (стр.67)

Слайд 6Самостоятельная работа

Самостоятельная работа

Слайд 7Ответы

Ответы

Слайд 8Критерий оценок:
«5» – за все правильные ответы;
«4» – одно неверное задание;
«3»

– два неверно выполненных задания;
«2» – три и более неверно выполненных заданий.
Критерий оценок:«5» – за все правильные ответы;«4» – одно неверное задание;«3» – два неверно выполненных задания;«2» –

Слайд 9Урок окончен

Урок окончен

Что такое shareslide.ru?

Это сайт презентаций, где можно хранить и обмениваться своими презентациями, докладами, проектами, шаблонами в формате PowerPoint с другими пользователями. Мы помогаем школьникам, студентам, учителям, преподавателям хранить и обмениваться учебными материалами.


Для правообладателей

Яндекс.Метрика

Обратная связь

Email: Нажмите что бы посмотреть