Презентация, доклад по алгебре Решение уравнений. Итоговое занятие для 11 класса

План урока «Решение уравнений»Повторить основные понятияОпределить место темы в математической наукеОпределить основные проблемы при изучении данной темыПодвести итоги, сделать выводы

Слайд 1Урок алгебры 11 класс Б лицей 144
Учитель
Оханцева Ирина Владимировна

Урок алгебры  11 класс Б лицей 144 УчительОханцева Ирина Владимировна

Слайд 3План урока «Решение уравнений»
Повторить основные понятия
Определить место темы в математической науке
Определить основные

проблемы при изучении данной темы
Подвести итоги, сделать выводы



План урока «Решение уравнений»Повторить основные понятияОпределить место темы в математической наукеОпределить основные проблемы при изучении данной темыПодвести

Слайд 4Типы уравнений

Типы уравнений

Слайд 5Типы уравнений

Типы уравнений

Слайд 6Диофантовы уравнения

Диофантовы уравнения

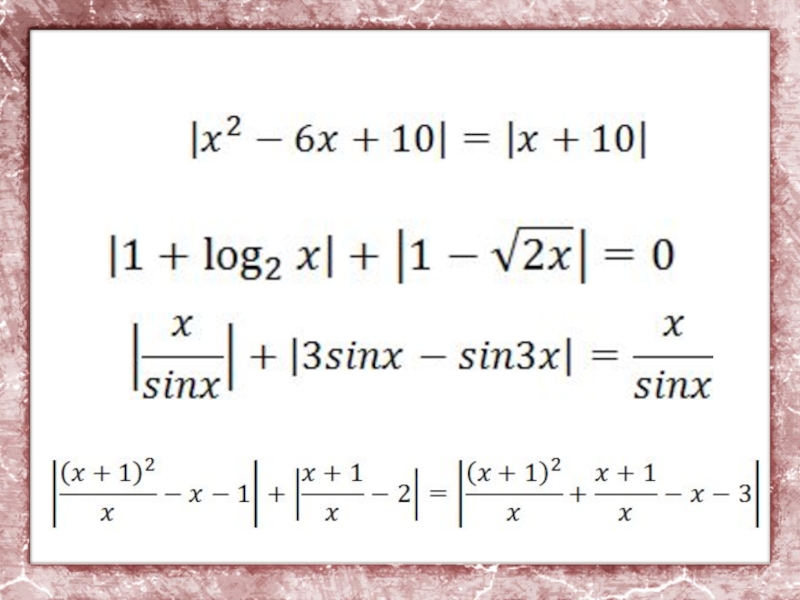
Слайд 7Методы решения уравнений


Методы решения уравнений

Слайд 8Методы решения уравнений

Методы решения уравнений

Слайд 9На этой глиняной табличке (около 1800 г. до н.э.) клинописью зафиксирована

процедура вычисления сложного процента.)
На этой глиняной табличке  (около 1800 г. до н.э.) клинописью зафиксирована процедура вычисления сложного процента.)

Слайд 15
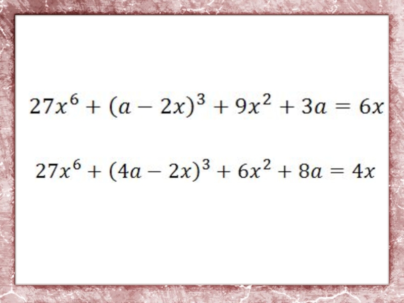
Найти все значения параметра а, для каждого из которых имеется

хотя бы один корень уравнения:
Найти все значения параметра а, для каждого из которых имеется хотя бы один корень уравнения:

Слайд 17Домашнее задание. a – количество букв фамилии b – количество букв отчества

c – количество букв имени



2. Задача 20 из вариантов 6 и 10 ЕГЭ


Домашнее задание. a – количество букв фамилии  b – количество букв отчества  c – количество

Слайд 18Спасибо за урок!

Спасибо за урок!

Что такое shareslide.ru?

Это сайт презентаций, где можно хранить и обмениваться своими презентациями, докладами, проектами, шаблонами в формате PowerPoint с другими пользователями. Мы помогаем школьникам, студентам, учителям, преподавателям хранить и обмениваться учебными материалами.


Для правообладателей

Яндекс.Метрика

Обратная связь

Email: Нажмите что бы посмотреть