Презентация, доклад по алгебре Решение логарифмических уравнений с помощью метода рационализации

Суть метода рационализации для решения логарифмических уравнений состоит в том, что входе решения совершается переход от уравнения, содержащего логарифмические выражения к равносильному рациональному уравнению.

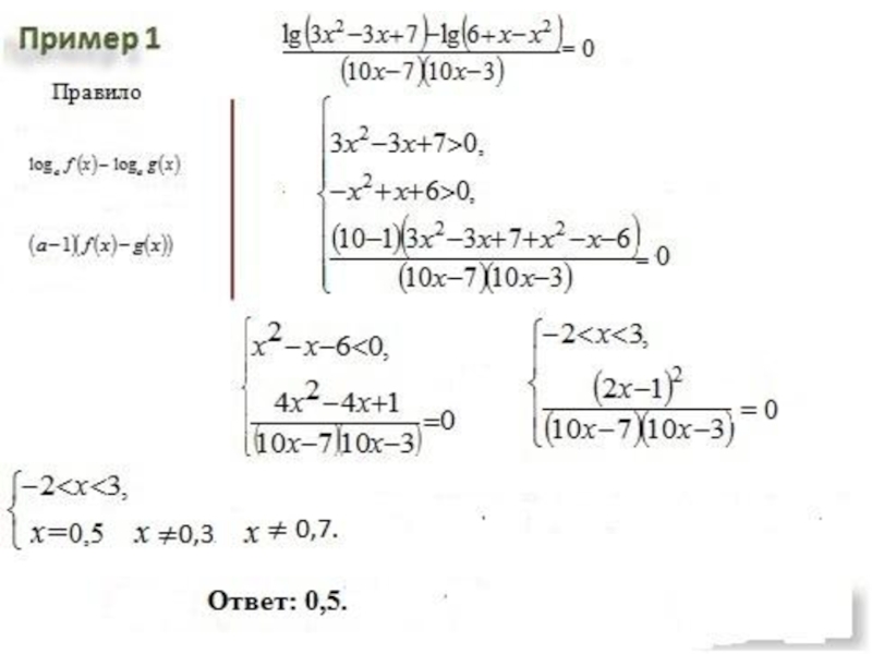
Слайд 1Решение

Решение

Слайд 2
Суть метода рационализации
для решения
логарифмических уравнений состоит в том,
что

входе решения совершается переход от уравнения, содержащего логарифмические выражения к равносильному рациональному уравнению.
Суть метода рационализации для решения логарифмических уравнений состоит в том, что входе решения совершается переход от уравнения,

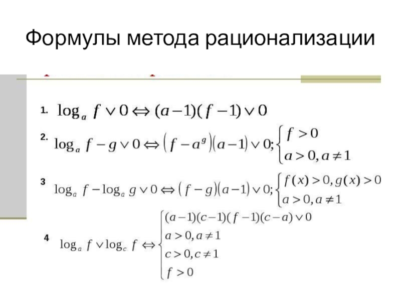
Слайд 3Формулы метода рационализации

Формулы метода рационализации

Слайд 10Сделай сам

Сделай сам

Что такое shareslide.ru?

Это сайт презентаций, где можно хранить и обмениваться своими презентациями, докладами, проектами, шаблонами в формате PowerPoint с другими пользователями. Мы помогаем школьникам, студентам, учителям, преподавателям хранить и обмениваться учебными материалами.


Для правообладателей

Яндекс.Метрика

Обратная связь

Email: Нажмите что бы посмотреть