Презентация, доклад по алгебре Решение логарифмических неравенств

Определение: Логарифмическими неравенствами называют неравенства вида где а – положительное число, отличное от 1, и неравенства, сводящиеся к этому виду.

Слайд 1Решение логарифмических неравенств

Решение логарифмических неравенств

Слайд 2Определение:
 Логарифмическими неравенствами называют неравенства вида




где а – положительное число, отличное от 1, и неравенства, сводящиеся к этому виду.




Определение: Логарифмическими неравенствами называют неравенства вида

Слайд 3Методы решения логарифмических неравенств
1. Метод потенцирования.
2. Применение простейших свойств логарифмов.
3.

Метод разложения на множители.
4. Метод замены переменной.
5. Применение свойств
логарифмической функции.
Методы решения логарифмических неравенств1. Метод потенцирования.2. Применение простейших свойств  логарифмов.3. Метод разложения на множители.4. Метод замены

Слайд 4Алгоритм
При а > 1



При 0 < a < 1


АлгоритмПри а > 1При 0 < a < 1

Слайд 5Решение:






Решение:

Слайд 6Решение:




Решение:

Слайд 7
Решение:









Решение:

Слайд 8Область определения:






Область определения:

Слайд 9 1
1)
2)



[16; + ∞ )
(0;

1/8 )




1 1) 2)   [16; + ∞ )(0; 1/8 )

Слайд 11 2
1)

2)

3)

4)




2 1)2)3)4)

Слайд 121)

2)

3)



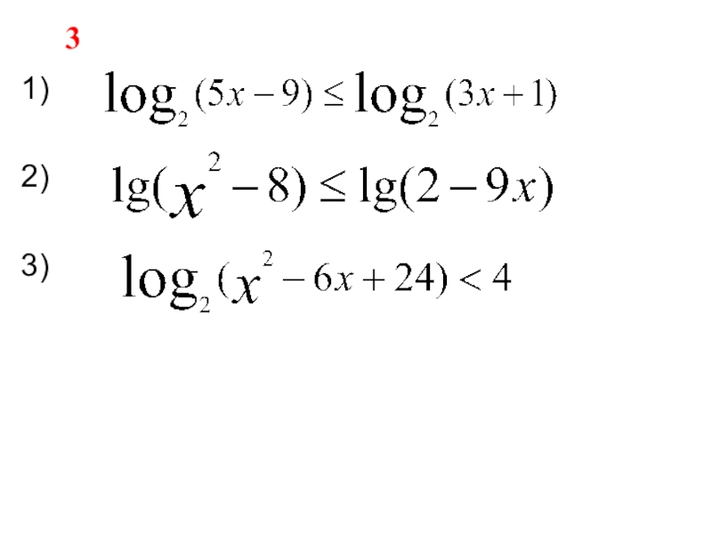
3

1)2)3)3

Слайд 13Решение 2
1)



2)




1,8 < x
5





-10

Решение 2 1)2)1,8 < x 5 -10

Слайд 14Решение 2

3)




Решение 2 3)

Слайд 151)

2)

3)



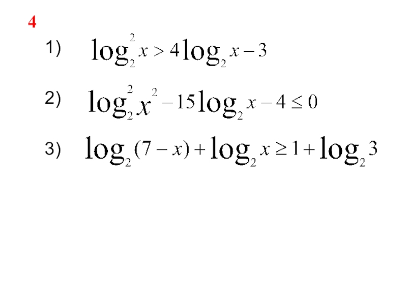
4

1)2)3)4

Слайд 16Решение 3
1)












Решение 3 1)

Слайд 17Решение 3
2)









Решение 3 2)

Слайд 18Решение 3
3)





Решение 3 3)

Что такое shareslide.ru?

Это сайт презентаций, где можно хранить и обмениваться своими презентациями, докладами, проектами, шаблонами в формате PowerPoint с другими пользователями. Мы помогаем школьникам, студентам, учителям, преподавателям хранить и обмениваться учебными материалами.


Для правообладателей

Яндекс.Метрика

Обратная связь

Email: Нажмите что бы посмотреть