Презентация, доклад по алгебре на тему Умножение одночлена на многочлен (7 класс)

УСТНАЯ РАБОТА Привести к стандартному виду одночлен:

Слайд 1умножение
одночлена
на
многочлен


Урок по теме

Подготовила и провела

Сяткина О.И.,
МБОУ «Атюрьевская средняя общеобразовательная школа №1»
умножение одночлена на многочлен Урок по теме Подготовила и провела Сяткина О.И., МБОУ «Атюрьевская средняя общеобразовательная школа

Слайд 2
УСТНАЯ РАБОТА
Привести к стандартному виду одночлен:



УСТНАЯ РАБОТА Привести к стандартному виду одночлен:

Слайд 3
Привести подобные члены:

ал - мукабала

Привести подобные члены: ал - мукабала

Слайд 4
Одночленом называют сумму числовых и буквенных множителей.
Множители, записанные с помощью чисел,

называются числовыми.
Одночлены, в которых содержится только один числовой множитель и степени с различными буквенными основаниями, называют одночленами стандартного вида.
Буквенный множитель одночлена, записанного в стандартном виде, называют коэффициентом одночлена.
Одночлены, которые отличаются друг от друга только коэффициентами, называются подобными членами.
Алгебраическая сумма нескольких одночленов называется многочленом.
В результате умножения одночлена на одночлен получается одночлен.
Многочлен, все члены которого записаны в стандартном виде, называется многочленом стандартного вида.
Чтобы раскрыть скобки, перед которыми стоит знак «+», скобки надо опустить, сохранив знак каждого члена.
Когда раскрываются скобки, перед которыми стоит знак «-» , скобки опускаются и знаки членов, которые стояли в скобках, изменяются на противоположные.

Теоретический тест

Одночленом называют сумму числовых и буквенных множителей.Множители, записанные с помощью чисел, называются числовыми.Одночлены, в которых содержится только

Слайд 5Результаты практического теста

Результаты практического теста

Слайд 6
Упростив выражения и расставив их в порядке убывания коэффициентов, вы узнаете

фамилию известного русского математика, основателя Петербургской математической школы




Упростив выражения и расставив их в порядке убывания коэффициентов, вы узнаете фамилию известного русского математика, основателя Петербургской

Слайд 8
Чебышев Пафнутий Львович (1821-1894)
Знаменитый русский математик, член Парижской

Академии Наук. Родился в 1821 г. в селе Окатове (ныне Калужская область). Известны его работы по теории чисел, теории вероятности, посвященные функциям и интегральному исчислению. Им создано более 40 механизмов, среди которых автоматический арифмометр для умножения и деления чисел. О решении практических задач он сказал следующее: «Сближение теории с практикой дает самые благотворные результаты».
Чебышев Пафнутий Львович  (1821-1894)   Знаменитый русский математик, член Парижской Академии Наук.   Родился

Слайд 9умножение
одночлена
на
многочлен

умножение одночлена на многочлен

Слайд 13
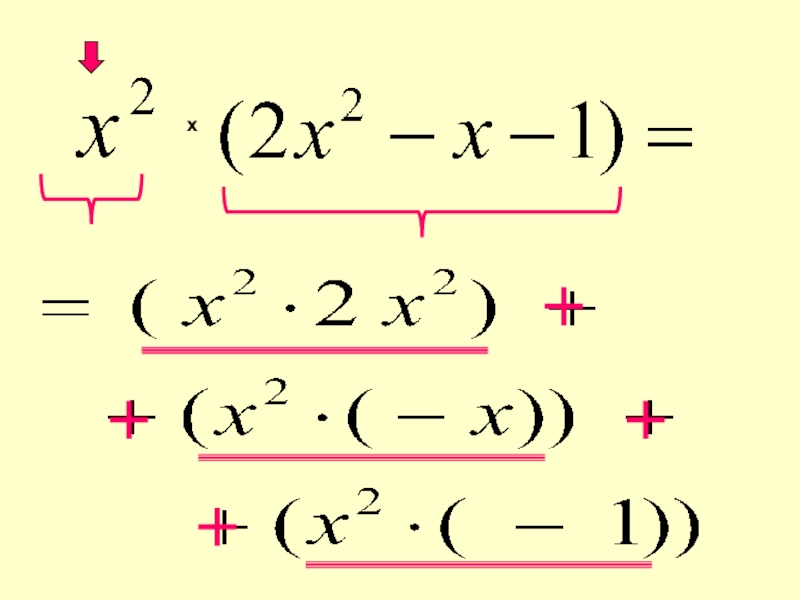
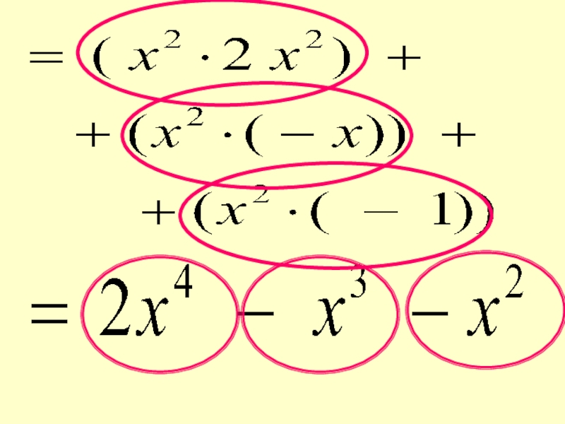
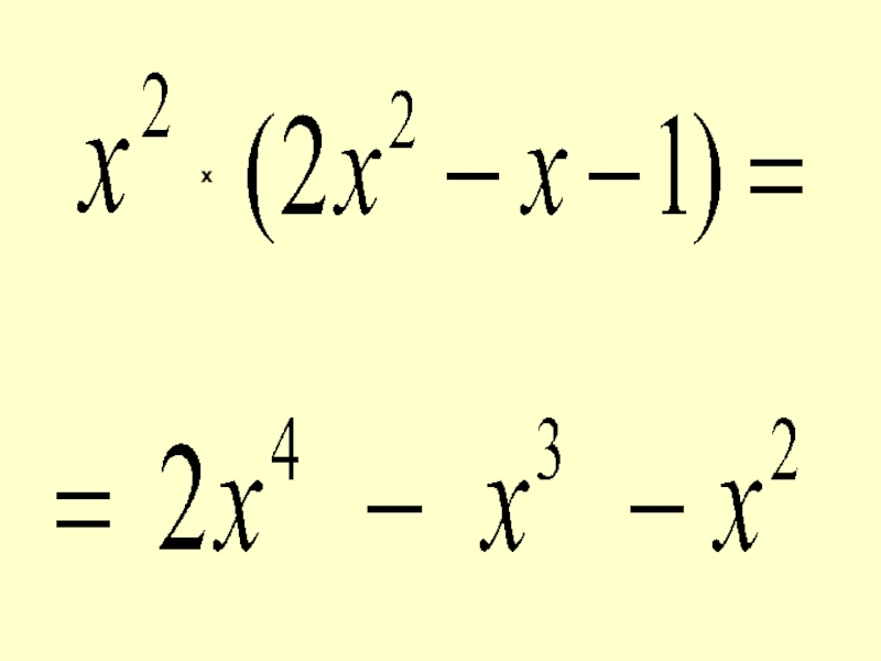
Полученное правило можно записать в виде символов:

Полученное правило можно записать в виде символов:

Слайд 14Домашнее задание:
п. 27 (выучить правило)
№ 615 (г, д, е)
№ 616 (в,

г)
Домашнее задание:п. 27 (выучить правило)№ 615 (г, д, е)№ 616 (в, г)

Слайд 15
Найти объем прямоугольного параллелепипеда
V = (площадь основания) х (высота)

Найти объем прямоугольного параллелепипедаV = (площадь основания) х (высота)

Что такое shareslide.ru?

Это сайт презентаций, где можно хранить и обмениваться своими презентациями, докладами, проектами, шаблонами в формате PowerPoint с другими пользователями. Мы помогаем школьникам, студентам, учителям, преподавателям хранить и обмениваться учебными материалами.


Для правообладателей

Яндекс.Метрика

Обратная связь

Email: Нажмите что бы посмотреть