Презентация, доклад по алгебре на тему Степень с натуральным показателем

Свойства степени

Слайд 1Классная работа

Классная работа

Слайд 3Свойства степени

Свойства степени

Слайд 625-9 = 16
8 + 1 = 9
64-64 = 0

25-9 = 168 + 1 = 964-64 = 0

Слайд 8Физминутка\Коррекция зрения.ppt

Физминутка\Коррекция зрения.ppt

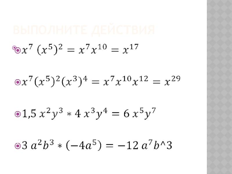
Слайд 11Выполните действия

Выполните действия

Слайд 12Оцени свою работу:
- Я работал(а) отлично, в полную силу своих возможностей,

чувствовал(а) себя уверенно.

- Я работал(а) хорошо, но не в полную силу, испытывал(а) чувство неуверенности, боязни, что отвечу неправильно.

- У меня не было желания работать. Сегодня не мой день.

Оцени свою работу:- Я работал(а) отлично, в полную силу своих возможностей, чувствовал(а) себя уверенно.- Я работал(а) хорошо,

Слайд 13Спасибо за урок!

Спасибо за урок!

Что такое shareslide.ru?

Это сайт презентаций, где можно хранить и обмениваться своими презентациями, докладами, проектами, шаблонами в формате PowerPoint с другими пользователями. Мы помогаем школьникам, студентам, учителям, преподавателям хранить и обмениваться учебными материалами.


Для правообладателей

Яндекс.Метрика

Обратная связь

Email: Нажмите что бы посмотреть