Презентация, доклад по алгебре на тему Решение систем способом подстановки (9 класс)

Уравнение с двумя переменными Система уравненийГрафик уравнения с двумя переменнымиГрафический способ Решить системууравненийСпособ подстановкиСпособ сложенияРешение уравнения с двумя переменнымиРешение системыуравнений

Слайд 1Решение систем уравнений
второй степени

Решение систем уравненийвторой степени

Слайд 2Уравнение с двумя
переменными
Система
уравнений

График уравнения с двумя переменными
Графический способ


Решить
систему
уравнений

Способ подстановки

Способ сложения

Решение уравнения
с двумя переменными

Решение
системы
уравнений

Уравнение с двумя переменными Система уравненийГрафик уравнения с двумя переменнымиГрафический способ Решить системууравненийСпособ подстановкиСпособ сложенияРешение уравнения с

Слайд 3Cпособ подстановки
Как решить систему способом подстановки?
Есть ли разница, из какого

уравнения системы получить подстановку?
Как записать решение системы?
Cпособ подстановки Как решить систему способом подстановки?Есть ли разница, из какого уравнения системы получить подстановку? Как записать

Слайд 4Если в систему входит уравнение 1-ой степени, то подстановку получают из

этого уравнения. Если оба уравнения второй степени, то подстановку получают из любого.
Решение системы записывается парой чисел.

Ответы на вопросы способа подстановки


Если в систему входит уравнение 1-ой степени, то подстановку получают из этого уравнения. Если оба уравнения второй

Слайд 5Способ подстановки
Определите степень уравнения

Способ подстановкиОпределите степень уравнения

Слайд 6Степень уравнения

Степень уравнения

Слайд 7Выразите одну переменную через другую
Способ подстановки






Выразите одну переменную через другуюСпособ подстановки

Слайд 8Одна переменная выраженная через другую

Одна переменная выраженная через другую

Слайд 9Рассмотрим системы уравнений приведенные в Открытом банке заданий ФИПИ


Рассмотрим системы уравнений приведенные в Открытом банке заданий ФИПИ

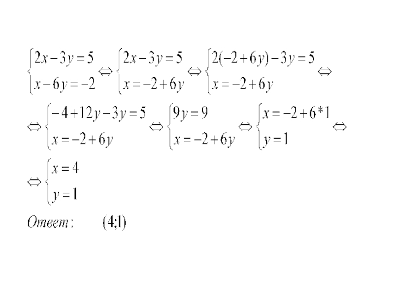
Слайд 11Способ подстановки


Способ подстановки

Слайд 12Решите самостоятельно
2 вариант




Решите самостоятельно2 вариант

Слайд 13
Взаимопроверка 1 варианта Ответ: (4; 2)

Ответ: (-2; -6), (6; 2)

Взаимопроверка 1 варианта Ответ: (4; 2)

Слайд 14Домашнее задание
На «5» № 429,431 а
На «4» № 429,432 а
На «3»

-№ 429
Домашнее заданиеНа «5» № 429,431 аНа «4» № 429,432 аНа «3» -№ 429

Что такое shareslide.ru?

Это сайт презентаций, где можно хранить и обмениваться своими презентациями, докладами, проектами, шаблонами в формате PowerPoint с другими пользователями. Мы помогаем школьникам, студентам, учителям, преподавателям хранить и обмениваться учебными материалами.


Для правообладателей

Яндекс.Метрика

Обратная связь

Email: Нажмите что бы посмотреть