Презентация, доклад по алгебре на тему Рациональные выражения (8 класс)

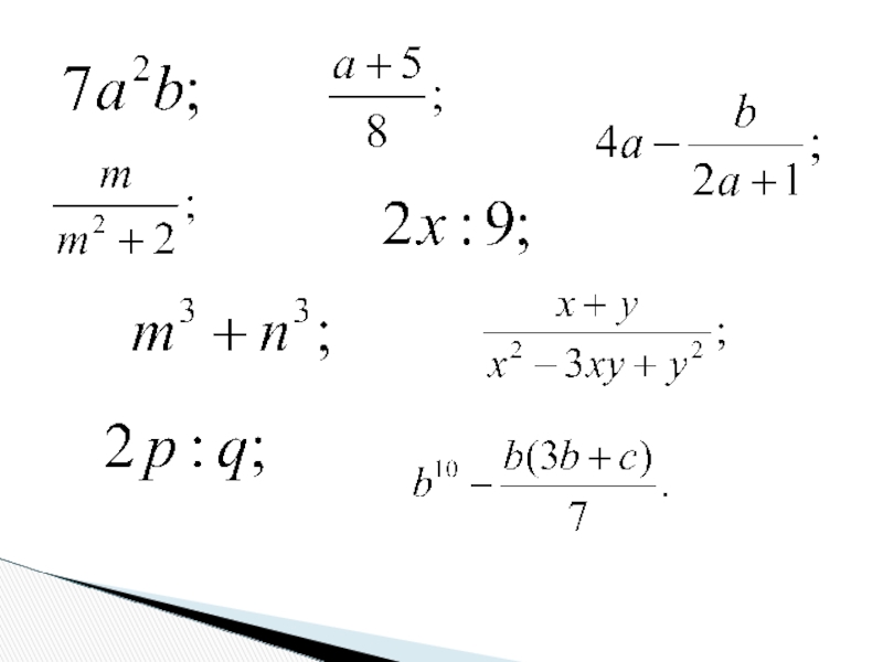
Целые и дробные выражения называются рациональными выражениями.№ 2

Слайд 1Рациональные выражения

*

Рациональные выражения*

Слайд 3Целые и дробные выражения называются рациональными выражениями.
№ 2

Целые и дробные выражения называются рациональными выражениями.№ 2

Слайд 5Найдите значение каждого выражения при а = -3.

Найдите значение каждого выражения при  а = -3.

Слайд 6Не имеет смысла
ВЫВОД: Выражение имеет смысл при любых значениях переменных
ВЫВОД: Имеет

смысл при том значении переменной, которое не обращает знаменатель в нуль.
Не имеет смыслаВЫВОД: Выражение имеет смысл при любых значениях переменныхВЫВОД: Имеет смысл при том значении переменной, которое

Слайд 7Определение:
Значения переменных, при которых выражение имеет

смысл, называют областью допустимых значений переменных (ОДЗ).
Определение:     Значения переменных, при которых выражение имеет смысл, называют областью допустимых значений переменных

Слайд 8 Числитель – многочлен, знаменатель – многочлен. Такой

вид рационального выражения называется рациональной дробью.
Числитель – многочлен, знаменатель – многочлен. Такой вид рационального выражения называется рациональной дробью.

Слайд 9Задание:
Найдите ОДЗ данной рациональной дроби.
Ответ:

ОДЗ: а ≠ 0, а ≠ 2

№ 11

Задание:   Найдите ОДЗ данной рациональной дроби.Ответ:    ОДЗ: а ≠ 0,  а

Слайд 10Домашнее задание

П.1

№№ 6, 12

Домашнее заданиеП.1 №№ 6, 12

Что такое shareslide.ru?

Это сайт презентаций, где можно хранить и обмениваться своими презентациями, докладами, проектами, шаблонами в формате PowerPoint с другими пользователями. Мы помогаем школьникам, студентам, учителям, преподавателям хранить и обмениваться учебными материалами.


Для правообладателей

Яндекс.Метрика

Обратная связь

Email: Нажмите что бы посмотреть