Презентация, доклад по алгебре на тему Преобразование выражений, содержащих квадратный корень (8 класс)

вынесение множителя из-под знака корня

Слайд 1Преобразование выражений, содержащих квадратный корень

Преобразование выражений, содержащих квадратный корень

Слайд 2вынесение множителя из-под знака корня

вынесение множителя из-под знака корня

Слайд 3внесение множителя под знака корня

внесение множителя под знака корня

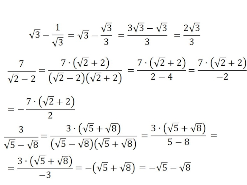
Слайд 4освободиться от иррациональности в знаменателе

освободиться от иррациональности в знаменателе

Слайд 7Сократить дробь:
Упростить:

Сократить дробь:Упростить:

Что такое shareslide.ru?

Это сайт презентаций, где можно хранить и обмениваться своими презентациями, докладами, проектами, шаблонами в формате PowerPoint с другими пользователями. Мы помогаем школьникам, студентам, учителям, преподавателям хранить и обмениваться учебными материалами.


Для правообладателей

Яндекс.Метрика

Обратная связь

Email: Нажмите что бы посмотреть