Презентация, доклад по алгебре на тему Неполные квадратные уравнения (8 класс)

Реши устно и объясни так

Слайд 1Проверь себя
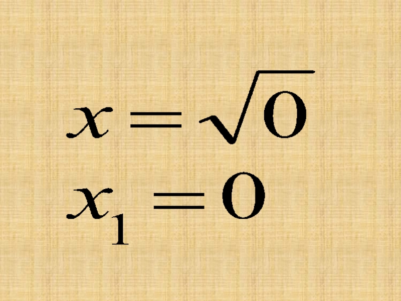
На слайде даны элементарные квадратные уравнения. Такие задания нужно уметь

решать устно. Хотя черновик тоже может пригодиться. Проверьте, умеете ли Вы это делать. Сверьтесь с ответами, которое следуют после каждого уравнения.
Поставьте себе оценку(«3» – решил 9-12 уравнений, «4» – 13-16 уравнений, «5» – 17-18 уравнений.
Просмотрите повторно те уравнения, в которых Вы допустили ошибку
Проверь себяНа слайде даны элементарные квадратные уравнения. Такие задания нужно уметь решать устно. Хотя черновик тоже может

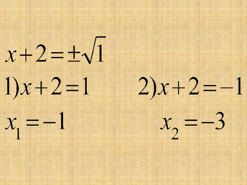
Слайд 2Реши устно и объясни так

Реши устно и объясни так

Слайд 17Решений нет

Решений нет

Слайд 39Тут нужно рассуждать логически.
Есть только два числа, куб и квадрат которых

равны.
Тут нужно рассуждать логически.Есть только два числа, куб и квадрат которых равны.

Что такое shareslide.ru?

Это сайт презентаций, где можно хранить и обмениваться своими презентациями, докладами, проектами, шаблонами в формате PowerPoint с другими пользователями. Мы помогаем школьникам, студентам, учителям, преподавателям хранить и обмениваться учебными материалами.


Для правообладателей

Яндекс.Метрика

Обратная связь

Email: Нажмите что бы посмотреть