Презентация, доклад по алгебре на тему Метод рационализации

 УТВЕРЖДЕНИЕ 1 Функция f(x) есть строго возрастающая тогда и только тогда, когда для любых двух значений t1 и t2 из области определения функции разность (t1 - t2 ) совпадает по знаку с разностью (f(t1) -

Слайд 1Метод рационализации как эффективный способ подготовки к ЕГЭ по математике на

профильном уровне


МАСТЕР -КЛАСС

ГБОУ СЛИ №2

Метод рационализации как эффективный способ подготовки к ЕГЭ по математике на профильном уровнеМАСТЕР -КЛАССГБОУ СЛИ №2

Слайд 2 
УТВЕРЖДЕНИЕ 1
Функция f(x) есть строго возрастающая тогда и только

тогда, когда для любых двух значений t1 и t2 из области определения функции разность
(t1 - t2 ) совпадает по знаку с разностью (f(t1) - f(t2))

УТВЕРЖДЕНИЕ 2
Функция f(x) есть строго убывающая тогда и только тогда, когда для любых двух значений t1 и t2 из области определения функции разность
(t1 - t2 ) совпадает по знаку с разностью (f(t2) - f(t1))

 УТВЕРЖДЕНИЕ 1  Функция f(x) есть строго возрастающая тогда и только тогда, когда для любых двух значений

Слайд 5Следовательно :



Следовательно :

Слайд 6Имеем :



Имеем :

Слайд 7


x

- 1
-
+
+
x

x



Решим неравенство:

x- 1 -++xxРешим неравенство:

Слайд 8Имеем:

Имеем:

Слайд 9Имеем:

Имеем:

Слайд 10
Ограничения:
Решим неравенство:

Ограничения:Решим неравенство:

Слайд 12




-1
-
+
х
-


х
3

-1
0




-1-+х-х3-10

Слайд 14
Ограничения:
Решим неравенство:

Ограничения:Решим неравенство:

Слайд 16




1
-
+
х
-



х


-1


1
+
+
-


1-+х-х-11++-

Слайд 17Решить неравенство

Решить неравенство

Слайд 18 
Решить неравенство
 
 
 

 Решить неравенство   

Слайд 19Практикум
Решите неравенства:

ПрактикумРешите неравенства:

Слайд 20

Пример 1


Решение: ОДЗ: x

Пример 1 Решение: ОДЗ: x

Слайд 21
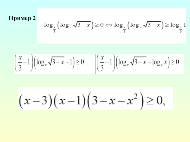
Пример 2

Пример 2

Слайд 221. Корянов А.Г., Прокофьев А.А. Интернет – ресурс: http://alexlarin.net/ege/2011/C3-2011.pdf
3. Экзаменационные задания:

http://alexlarin.net/

В презентации использовались ресурсы:

2. ЕГЭ-2013: Математика: самое полное издание типовых вариантов / авт.-сост. И.В. Ященко, И.Р. Высоцкий; под ред. А.Л. Семенова, И.В. Ященко. – М.: АСТ: Астрель, 2013. -123 с. – (Федеральный институт педагогических измерений).

1. Корянов А.Г., Прокофьев А.А. Интернет – ресурс: http://alexlarin.net/ege/2011/C3-2011.pdf3. Экзаменационные задания: http://alexlarin.net/В презентации использовались ресурсы:2. ЕГЭ-2013: Математика:

Слайд 23Ответы
к заданиям

«Клик» по нужному заданию даёт переход к фрагменту решения

и ответу

Назад - в «Практимум»

Ответы к заданиям«Клик» по нужному заданию даёт переход к фрагменту решения и ответуНазад - в «Практимум»

Слайд 24Досрочный ЕГЭ 26.04.2012


Досрочный ЕГЭ 26.04.2012

Слайд 25
ЕГЭ - 2012. Запад.
07.06.2012

ЕГЭ - 2012. Запад.07.06.2012

Слайд 26
ЕГЭ - 2012. Восток.
07.06.2012

ЕГЭ - 2012. Восток.07.06.2012

Слайд 27
ЕГЭ-2012. Резервный день «основной волны». 21.06.2012


ЕГЭ-2012. Резервный день «основной волны». 21.06.2012

Слайд 28
ЕГЭ -2012. «Вторая волна».

10.07.2012.


ЕГЭ -2012. «Вторая волна».        10.07.2012.

Слайд 29



ЕГЭ – резервный день «второй волны».
16.07.2012.


x
+
x
2
5
5

-3
+
+
6






6

-
-
0

ЕГЭ – резервный день «второй волны».16.07.2012.x+x255-3++66--0

Слайд 30


ЕГЭ-2012. Резервный день

«второй волны». 16.07.2012.

Для тех, кто боится «модулей» -
2 способ:




x

-

x

2

5

5


-3

+

+

-

-

0

6







6

ЕГЭ-2012.        Резервный день «второй волны».   16.07.2012.Для тех,

Что такое shareslide.ru?

Это сайт презентаций, где можно хранить и обмениваться своими презентациями, докладами, проектами, шаблонами в формате PowerPoint с другими пользователями. Мы помогаем школьникам, студентам, учителям, преподавателям хранить и обмениваться учебными материалами.


Для правообладателей

Яндекс.Метрика

Обратная связь

Email: Нажмите что бы посмотреть