Презентация, доклад по алгебре на тему Квадратный корень. Иррациональность в знаменателе

Цели:Этот урок научит вас работать с выражениями, содержащими квадратный корень, а именно……… 

Слайд 1Преобразование выражений, содержащих квадратный корень

Преобразование выражений, содержащих квадратный корень

Слайд 2Цели:
Этот урок научит вас работать с выражениями, содержащими квадратный корень, а

именно………
 

Цели:Этот урок научит вас работать с выражениями, содержащими квадратный корень, а именно……… 

Слайд 3Методу освобождения от иррациональности в знаменателе.  Посмотрим, как это делается.

Методу освобождения от иррациональности в знаменателе.   Посмотрим, как это делается.

Слайд 4
1. На первом рисунке показано, как можно избавиться от иррациональности

в знаменателе. Числитель и знаменатель дроби умножить на одно и то же иррациональное число, равное знаменателю дроби и получим знаменатель без знака корня.


1. На первом рисунке показано, как можно избавиться от иррациональности в знаменателе. Числитель и знаменатель дроби

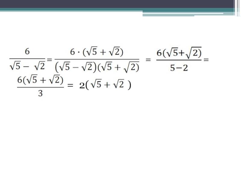
Слайд 5
=

= =

= 2( )







=

Слайд 6
Во втором примере нам понадобилось свойство, по которому

каждый раз при умножении сумм двух корней на их разность в результате получается выражение не содержащее знак корня.

Во втором примере нам понадобилось свойство, по которому каждый раз при умножении сумм двух корней

Слайд 7 ПРАВИЛА ИЗБАВЛЕНИЯ ОТ ИРРАЦИОНАЛЬНОСТИ В ЗНАМЕНАТЕЛЕ:
Если знаменатель содержит


то числитель и знаменатель этой дроби нужно умножить на
Если знаменатель содержит
То числитель и знаменатель этой дроби
Нужно умножить на
(и наоборот)






ПРАВИЛА ИЗБАВЛЕНИЯ ОТ ИРРАЦИОНАЛЬНОСТИ В ЗНАМЕНАТЕЛЕ: Если знаменатель содержит

Слайд 8

=







=

=

=

= ===

Слайд 9
Посмотрите, как избавление от
иррациональности в знаменателе

помогает упрощать выражение. Удобство избавления от
иррациональности в знаменателе
состоит именно в том, что часто
при этом знаменатель вообще исчезает,
а значит с таким выражением работать
становится легче.

Посмотрите, как избавление от иррациональности в знаменателе         помогает упрощать

Что такое shareslide.ru?

Это сайт презентаций, где можно хранить и обмениваться своими презентациями, докладами, проектами, шаблонами в формате PowerPoint с другими пользователями. Мы помогаем школьникам, студентам, учителям, преподавателям хранить и обмениваться учебными материалами.


Для правообладателей

Яндекс.Метрика

Обратная связь

Email: Нажмите что бы посмотреть