Презентация, доклад по алгебре на тему Алгебраические дроби и их свойства

Содержание

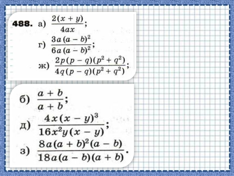
Сократите дроби:?

Слайд 1Формулы сокращённого умножения:
1) Квадрат суммы двух чисел:
2) Квадрат разности двух чисел:
3)

Разность квадратов двух чисел:

4) Сумма кубов двух чисел:

5) Разность кубов двух чисел:

6) Куб суммы двух чисел:

7) Куб разности двух чисел:

Формулы сокращённого умножения:1) Квадрат суммы двух чисел:2) Квадрат разности двух чисел:3) Разность квадратов двух чисел: 4) Сумма

Слайд 2Сократите дроби:
?

Сократите дроби:?

Слайд 3. Алгебраические дроби и их свойства.

. Алгебраические дроби и их свойства.

Слайд 4А – числитель алгебраической дроби;
В – знаменатель алгебраической дроби.
Алгебраической дробью

называют

выражение - частное

многочлена А и ненулевого многочлена В.
А – числитель алгебраической дроби; В – знаменатель алгебраической дроби.Алгебраической дробью называют выражение    -

Слайд 5Являются ли данные выражения алгебраической дробью?
 
 
 
 
 
 
 
 
7
!!! Многочлен - это частный


случай алгебраической дроби.
Являются ли данные выражения алгебраической дробью?        7!!!  Многочлен - это частный   случай алгебраической дроби.

Слайд 7Свойства алгебраических дробей:

1.


2.


3.

Основное свойство дроби.

Приведение дроби к
новому знаменателю.

Любой многочлен можно
рассматривать как алгебраическую дробь.

Сокращение дроби.

Свойства алгебраических дробей:           1.

Слайд 8Например,
Привести алгебраическую дробь к новому знаменателю.

Например,Привести алгебраическую дробь к новому знаменателю.

Слайд 11Сокращение дробей
Чтобы сократить дробь, необходимо числитель и знаменатель данной дроби разложить

на множители и сократить на общий множитель.
Пример 1:

Сокращение дробейЧтобы сократить дробь, необходимо числитель и знаменатель данной дроби разложить на множители и сократить на общий

Слайд 12Пример 2:


Пример 3:



Пример 4:



Пример 2:Пример 3:Пример 4:

Слайд 13 Алгоритм сокращения дроби:
1. Разложить на множители числитель и знаменатель дроби,

если это необходимо.

2. Разделить числитель и знаменатель дроби на ненулевой многочлен.

3. Записать полученную дробь.
Алгоритм сокращения дроби:1. Разложить на множители числитель и знаменатель дроби, если это необходимо.2. Разделить числитель и

Слайд 17Найдите значение алгебраической дроби.
 
 
 
 
 
Делить на нуль нельзя
Значения, при которых знаменатель дроби
обращается

в нуль называются
недопустимыми значениями переменной
Найдите значение алгебраической дроби.     Делить на нуль нельзяЗначения, при которых знаменатель дробиобращается в нуль называются недопустимыми значениями переменной

Слайд 18Найдите допустимые значения алгебраической дроби
 
 
 
 
 
 
 
 
 
 
 
 
 
 

Найдите допустимые значения алгебраической дроби              

Слайд 19Самостоятельная работа
1. Найдите значение алгебраической дроби
2. Найдите допустимые значения переменной
3. При

каком значении переменной дробь равна нулю?

- 3

- 1

х любое, кроме х = 8

х любое, кроме х = -7

у любое, кроме у = -1 и у = 4

у любое, кроме у = 5 и у = -3

х = - 9

у = 2

х = 8

у = 4

Самостоятельная работа1. Найдите значение алгебраической дроби2. Найдите допустимые значения переменной3. При каком значении переменной дробь равна нулю?-

Слайд 20Домашнее задание:
О.У. п.7.1.(выучить определение и свойства алгебраических дробей),
№ 484 (д,е,ж,з),

485б, 488 (в,е), 489 г, 491 (в,е).
П.У.

Домашнее задание:О.У. п.7.1.(выучить определение и свойства алгебраических дробей), № 484 (д,е,ж,з), 485б, 488 (в,е), 489 г, 491

Что такое shareslide.ru?

Это сайт презентаций, где можно хранить и обмениваться своими презентациями, докладами, проектами, шаблонами в формате PowerPoint с другими пользователями. Мы помогаем школьникам, студентам, учителям, преподавателям хранить и обмениваться учебными материалами.


Для правообладателей

Яндекс.Метрика

Обратная связь

Email: Нажмите что бы посмотреть