Презентация, доклад по алгебре Алгебраические дроби

ПовторимКакие действия с рациональными дробями вы знаете?Сформулируйте правила выполнения действий с рациональными дробями:Сложения и вычитания;Умножения;Деления.

Слайд 1Рациональные выражения
Учитель: Анцыбор О.А.

Рациональные выраженияУчитель: Анцыбор О.А.

Слайд 2Повторим
Какие действия с рациональными дробями вы знаете?
Сформулируйте правила выполнения действий с

рациональными дробями:
Сложения и вычитания;
Умножения;
Деления.

ПовторимКакие действия с рациональными дробями вы знаете?Сформулируйте правила выполнения действий с рациональными дробями:Сложения и вычитания;Умножения;Деления.

Слайд 3 Назовите наименьший общий знаменатель дробей и дополнительные множители
и
и
и
и

Назовите наименьший общий знаменатель дробей и дополнительные множителиииии

Слайд 4Сократите:

Сократите:

Слайд 5Найдите ошибку
-
y-7

Найдите ошибку-y-7

Слайд 6Найдите ошибку
-
-

Найдите ошибку--

Слайд 7Открываем
тетрадь

Открываем тетрадь

Слайд 8Решите все пять действий и составьте выражение.

Решите все пять действий и составьте выражение.

Слайд 9Целыми называются выражения, составленные из чисел и переменных, которые связаны между

собой с помощью действий сложения, вычитания и умножения, а также деления на число, отличное от нуля.
Дробными называются выражения, которые содержат деление на выражение, содержащее переменные величины причём не должны содержать деление на нулевой многочлен
Рациональным выражением называется выражение, в котором несколько алгебраических дробей соединены знаками арифметических действий
Целыми называются выражения, составленные из чисел и переменных, которые связаны между собой с помощью действий сложения, вычитания

Слайд 10Разделите выражения на две группы
Целые
Дробные
Рациональные выражения

Разделите выражения на две группыЦелыеДробныеРациональные выражения

Слайд 11Область допустимых значений переменной

Область допустимых значений переменной

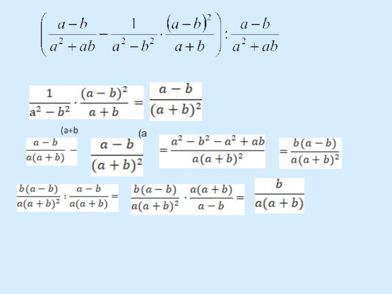
Слайд 12 Упростите и найдите значение алгебраического выражения
1
2
3

Упростите и найдите значение алгебраического выражения    123

Что такое shareslide.ru?

Это сайт презентаций, где можно хранить и обмениваться своими презентациями, докладами, проектами, шаблонами в формате PowerPoint с другими пользователями. Мы помогаем школьникам, студентам, учителям, преподавателям хранить и обмениваться учебными материалами.


Для правообладателей

Яндекс.Метрика

Обратная связь

Email: Нажмите что бы посмотреть