Презентация, доклад научного проекта по математике Баллистическая кривая в свете теории элементарных функций

Содержание

Очень важно, чтобы знания, полученные на одних предметах использовались и закреплялись при изучении других. Постановка и решение задач, продиктованных жизненными ситуациями.

Слайд 1Баллистическая кривая в свете теории элементарных функций



Баллистическая кривая в свете теории элементарных функций

Слайд 2Очень важно, чтобы знания, полученные на одних предметах использовались и закреплялись

при изучении других.
Постановка и решение задач, продиктованных жизненными ситуациями.
Очень важно, чтобы знания, полученные на одних предметах использовались и закреплялись при изучении других. Постановка и решение

Слайд 3 При условии, что испытания баллистических объектов могут проведены в обстановке, приближенной

к идеальной, на основе уравнений полета, брошенного под углом к горизонту тела, можно получать дополнительные характеристики полета баллистического тела, отражающие особенности полета и устанавливать вид связи между ними.
При условии, что испытания баллистических объектов могут проведены в обстановке, приближенной к идеальной, на основе уравнений полета,

Слайд 4Журнал «Знание – сила», № 12, 1958 год. «Баллистические самолеты будущего» А.Шибанов, В. Рафальский

Журнал «Знание – сила», № 12, 1958 год. «Баллистические самолеты будущего»  А.Шибанов, В. Рафальский

Слайд 5 Баллистические ракеты обладают явным преимуществом по сравнению с обычными самолетами, т.к.:

могут

совершать полеты в верхних слоях атмосферы;
могут достигать скорости 20 000 км/ч.

Баллистические ракеты обладают явным преимуществом по сравнению с обычными самолетами, т.к.:могут совершать полеты в верхних

Слайд 6Журнал «Военно-промышленный курьер», № 6, 2006 год. «Баллистическая ракета попала точно в

«кол»»
Журнал «Военно-промышленный курьер», № 6, 2006 год.  «Баллистическая ракета попала точно в «кол»»

Слайд 726 января 1954 г. Совмин СССР принял постановление «О проведении экспериментальных работ

по вооружению подводных лодок баллистическими ракетами дальнего действия и разработке на базе этих работ технического проекта большой подводной лодки с ракетным вооружением»
26 января 1954 г. Совмин СССР принял постановление «О проведении экспериментальных работ по вооружению подводных лодок баллистическими

Слайд 8Ракетный комплекс с баллистической ракетой был принят на вооружение в 1959

г.
Ракетный комплекс с баллистической ракетой был принят на вооружение в   1959 г.

Слайд 9Баллистическая ракета имела:

стартовую массу 5,5 т;
массу боевого блока 1100 кг;
длину –

10,3 М;
диаметр – 0,88 м;
размах стабилизаторов – 1,75 м;
ракетные шахты диаметром 2,4 м и высотой 14 м;
дальность стрельбы – 250 км.



Баллистическая ракета имела: стартовую массу 5,5 т;массу боевого блока 1100 кг;длину – 10,3 М;диаметр – 0,88 м;

Слайд 10Баллистика – наука о движении снаряда. Главным объектом изучения баллистики является обычный

артиллерийский снаряд, выбрасываемый из ствола орудия.
Баллистика – наука о движении снаряда. Главным объектом изучения баллистики является обычный артиллерийский снаряд, выбрасываемый из ствола

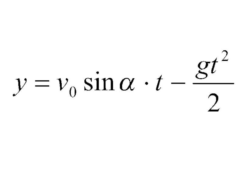
Слайд 12Задача.
Приводит к построению функции вида у = ах2 + bx +

c.

Связана с математическим описанием траектории движения тела, брошенного под некоторым углом к горизонту.
Задача.Приводит к построению функции вида у = ах2 + bx + c.Связана с математическим описанием траектории движения

Слайд 13
h
B
A
C
D
h0
h
x
O

hBACDh0hxO

Слайд 18Итак, на основе математического описания траектории движения тела, брошенного под углом

к горизонту (физическая задача), мы пришли к важным выводам, а именно характеристике свойств объекта (параболы), являющегося предметом изучения математики.
Итак, на основе математического описания траектории движения тела, брошенного под углом к горизонту (физическая задача), мы пришли

Слайд 19Тактико-технические характеристики МБР

Тактико-технические характеристики МБР

Что такое shareslide.ru?

Это сайт презентаций, где можно хранить и обмениваться своими презентациями, докладами, проектами, шаблонами в формате PowerPoint с другими пользователями. Мы помогаем школьникам, студентам, учителям, преподавателям хранить и обмениваться учебными материалами.


Для правообладателей

Яндекс.Метрика

Обратная связь

Email: Нажмите что бы посмотреть