Презентация, доклад к уроку Производная сложной функции (10 класс)

Задание №1. Найдите пару (функция и ее производная) 2)

Слайд 1«Никогда не считай, что ты знаешь всё,
что тебе уже больше

нечему учиться»

Н.Д. Зелинский

«Никогда не считай, что ты знаешь всё, что тебе уже больше нечему учиться»Н.Д. Зелинский

Слайд 2

Задание №1.
Найдите пару (функция и ее производная)

2) 3) 4)




6) 7) 8)




9) 10) 11) 12)


Задание №1. Найдите пару (функция и ее производная)

Слайд 3Ответ

Ответ

Слайд 4Задание №2. Укажите номера верных равенств – правил вычисления производных 1) 2) 3)

Задание №2.  Укажите номера верных равенств – правил вычисления производных   1)

Слайд 5Задание №2. Укажите номера верных равенств – правил вычисления производных 4) 5) 6)

Задание №2.  Укажите номера верных равенств – правил вычисления производных   4)

Слайд 6 Задание №3. Производные каких функций знаем? 1)

5) 2) 6) 3) 7) 4) 8)





Задание №3.  Производные каких функций знаем?   1)

Слайд 7Простые
(элементарные) функции Сложные

функции
Простые (элементарные) функции        Сложные функции

Слайд 8Тема урока:
Производная
сложной
функции

Тема урока: Производная сложной функции

Слайд 10Простые
(элементарные) функции Сложные

функции

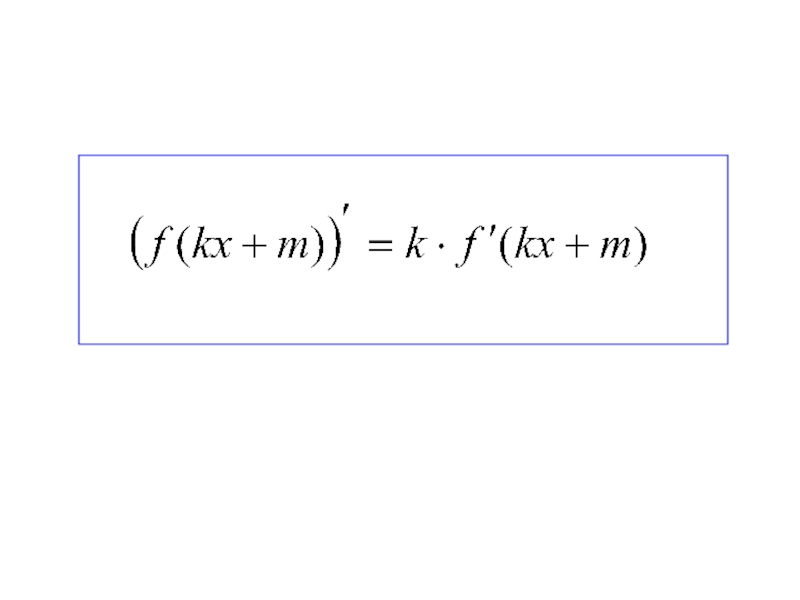
x kx + m

Простые (элементарные) функции        Сложные функцииx

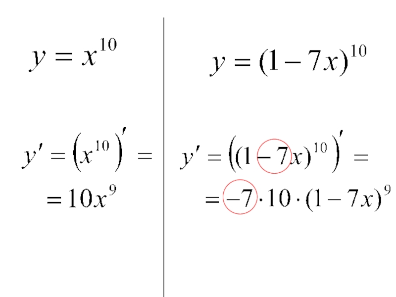
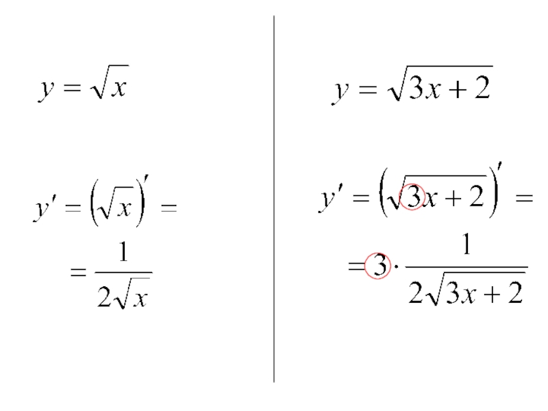
Слайд 13Задание №4 (у доски)

;


2) ;



Задание №5 (по группам)

1 группа: № 28.28 а; 28.29 а; 28.30 а; 28.31 а

2 группа: № 28.28 б; 28.29 б; 28.30 б; 28.31 г

3 группа: № 28.28 в; 28.29 в; 28.30 в; 28.31 а

4 группа: № 28.28 г; 28.29 г; 28.30 г; 28.31 г

5 группа: № 28.28 а; 28.29 б; 28.30 в; 28.31 а

Задание №4 (у доски)

Слайд 14Я узнал...

Я научился...

У меня получилось...

Я узнал...Я научился...У меня получилось...

Слайд 15Домашнее задание

§33, п.3
№ 28.31 б, в
№ 28.32 а
№ 28.33 б

Спасибо за

урок!
Домашнее задание§33, п.3№ 28.31 б, в№ 28.32 а№ 28.33 бСпасибо за урок!

Что такое shareslide.ru?

Это сайт презентаций, где можно хранить и обмениваться своими презентациями, докладами, проектами, шаблонами в формате PowerPoint с другими пользователями. Мы помогаем школьникам, студентам, учителям, преподавателям хранить и обмениваться учебными материалами.


Для правообладателей

Яндекс.Метрика

Обратная связь

Email: Нажмите что бы посмотреть